400 MHz in CDCl3
-
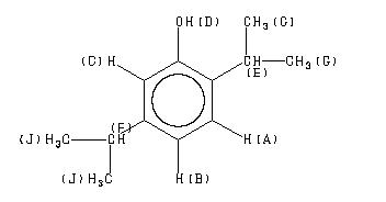
1H NMR 399.65 MHz C12 H18 O 0.05 ml : 0.5 ml CDCl3 2,5-diisopropylphenol 
Assign. Shift(ppm)
A 7.108 B 6.776 C 6.588 D 5.13 E 3.165 F 2.793 G 1.229 J 1.191
Hz ppm Int.2844.85 7.119 136 2836.91 7.099 152 2713.01 6.789 87 2711.18 6.784 93 2705.08 6.769 78 2703.25 6.765 82 2633.91 6.591 167 2632.08 6.586 161 2051.76 5.134 75 1272.95 3.186 64 1266.11 3.169 87 1259.16 3.151 71 1251.59 3.132 38 1128.42 2.824 36 1121.46 2.807 64 1114.50 2.789 80 1107.67 2.772 61 506.23 1.267 48 494.75 1.238 1000 487.92 1.221 990 479.61 1.201 949 472.66 1.183 935 466.43 1.168 53
更多供应商



