图谱信息 供应商 相关产品
网站主页CAS数据库列表 3607-17-8更多图谱(3-溴丙基)三苯基溴化磷(3607-17-8)红外图谱(IR1)

(3-溴丙基)三苯基溴化磷

产品名称 (3-溴丙基)三苯基溴化磷

CAS号3607-17-8

分子式C21H21Br2P

分子量464.17

展开


  • Mass

    MS-NW-7449          
    (3-bromopropyl)triphenylphosphonium bromide
    C21H21Br2P          (Mass of molecular ion:    462)
    

       Source Temperature: 240 °C
       Sample Temperature: 260 °C
       Direct, 75 eV
    

          18.0       2.2
          27.0       2.0
          28.0       1.0
          38.0       1.0
          39.0       7.9
          40.0       1.3
          41.0       8.5
          50.0       2.2
          51.0       7.6
          52.0       1.5
          53.0       1.5
          57.0       3.1
          63.0       2.0
          65.0       2.6
          67.0       1.4
          77.0       4.7
          78.0       2.3
          79.0       3.2
          80.0       7.8
          81.0       2.9
          82.0       7.9
          83.0       1.5
          91.0       3.2
         105.0       3.8
         107.0      14.4
         108.0      40.2
         109.0       3.7
         115.0       4.1
         116.0       1.0
         120.0       1.7
         128.0       1.6
         131.0       2.3
         133.0       3.1
         139.0       1.5
         141.0       1.6
         152.0       7.7
         153.0       2.0
         154.0       2.3
         157.0       3.7
         170.0       2.7
         181.0       1.3
         183.0      66.7
         184.0      14.8
         185.0      11.5
         186.0       1.7
         261.0      17.3
         262.0     100.0
         263.0      19.7
         264.0       2.0
         301.0       1.2
         302.0       1.1
    

400 MHz in CDCl3


  • 1H NMR 399.65 MHz
    C21 H21 Br2 P 0.040 g : 0.5 ml CDCl3
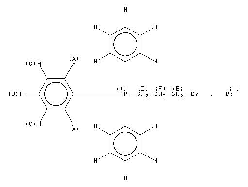
    (3-bromopropyl)triphenylphosphonium bromide
    ChemicalStructure
        Assign.     Shift(ppm)
    A 7.86 B 7.83 C 7.735 D 4.065 E 3.853 F 2.239

         Hz     ppm     Int.
    

       3151.37   7.886    444
       3150.27   7.883    575
       3145.14   7.870    197
       3143.19   7.865    788
       3141.72   7.862    733
       3140.14   7.858    283
       3137.94   7.852    853
       3135.99   7.847    304
       3134.64   7.844    205
       3131.59   7.836    810
       3130.13   7.833   1000
       3126.22   7.823    259
       3125.00   7.820    362
       3124.02   7.817    376
       3121.70   7.812    134
       3099.98   7.757    561
       3098.51   7.754    329
       3097.05   7.750    523
       3096.56   7.749    506
       3092.29   7.738    771
       3090.33   7.733    506
       3089.36   7.731    651
       3087.89   7.727    401
       3084.84   7.719    316
       3083.98   7.717    238
       3083.01   7.715    210
       3081.30   7.710    279
       1639.16   4.102    112
       1635.74   4.093     55
       1634.40   4.090     60
       1630.62   4.081     90
       1625.98   4.069    163
       1622.80   4.061    167
       1617.80   4.049     91
       1614.26   4.040     64
       1613.28   4.037     57
       1613.04   4.037     57
       1609.74   4.028    118
       1547.12   3.872    168
       1545.78   3.868    172
       1540.89   3.856    332
       1539.67   3.853    328
       1534.79   3.841    182
       1533.45   3.837    173
        911.87   2.282     31
        905.52   2.266     83
        904.79   2.264     80
        902.59   2.259     63
        902.22   2.258     62
        898.32   2.248    131
        896.61   2.244    111
        895.51   2.241    108
        892.82   2.235    106
        891.97   2.232    106
        891.11   2.230    109
        889.40   2.226    130
        885.50   2.216     61
        882.32   2.208     81
        876.10   2.193     31
    

in CDCl3



KBr disc



nujol mull