图谱信息 供应商 相关产品
网站主页CAS数据库列表 36099-95-3更多图谱H-TRP-GLU-OH(36099-95-3)核磁图(13CNMR)

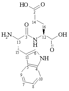
H-TRP-GLU-OH

产品名称 H-TRP-GLU-OH

CAS号36099-95-3

分子式C16H19N3O5

分子量333.34

展开



  •        ppm   Int.  Assign.
    179.23 596 1 177.18 553 2 169.59 699 3 137.08 479 4 127.41 688 5 126.19 779 6 122.99 938 7 * 120.37 1000 8 * 118.90 955 9 * 112.89 866 10 107.07 845 11 55.24 892 12 54.48 846 13 31.73 945 14 27.99 988 15 # 27.58 836 16 #
    Spectral Code: 13C NMR : in D2O