
N-乙基-1-萘胺盐酸盐
产品名称
N-乙基-1-萘胺盐酸盐
CAS号36101-15-2
分子式C12H14ClN
分子量207.7
InChIInChI=1S/C12H13N.ClH/c1-2-13-12-9-5-7-10-6-3-4-8-11(10)12;/h3-9,13H,2H2,1H3;1H
InChIKeyCZPDZIFRRRQSHM-UHFFFAOYSA-N
SmilesC12C=CC=CC1=CC=CC=2NCC.Cl
展开
收起
-
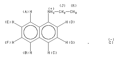
Assign. Shift(ppm)
A 8.338
B 8.058
C 7.969
D 7.730
E *1 7.69
F *1 7.65
G 7.602
J 3.452
K 1.343
ASSIGNED BY C-H COSY.
Spectral Code: 1H NMR : 400 MHz in DMSO-d6
-
ppm Int. Assign.
133.99 802 1
133.10 324 2
128.68 880 3
127.56 326 4
126.95 903 5 *
126.86 989 6 *
125.58 936 7
125.42 693 8
121.71 903 9
119.29 200 10
44.87 556 11
11.40 1000 12
ASSIGNED BY C-H COSY.
Spectral Code: 13C NMR : in DMSO-d6
-
Spectral Code: IR : nujol mull
N-乙基-1-萘胺盐酸盐(36101-15-2)红外图谱(IR1) 相关产品图谱