图谱信息 供应商 相关产品
网站主页CAS数据库列表 362-43-6更多图谱2',3'-异丙基脲(362-43-6)红外图谱(IR2)

2',3'-异丙基脲

产品名称 2',3'-异丙基脲

CAS号362-43-6

分子式C12H16N2O6

分子量284.27

展开


  • Mass

    MS-NW-6931          
    2',3'-O-isopropylideneuridine
    C12H16N2O6          (Mass of molecular ion:    284)
    

       Source Temperature: 220 °C
       Sample Temperature: 140 °C
       Direct, 75 eV
    

          15.0       3.8
          18.0       2.2
          26.0       3.9
          27.0       7.9
          28.0      10.6
          29.0       8.6
          31.0      16.8
          39.0      11.0
          40.0       9.3
          41.0      21.5
          42.0      10.5
          43.0      65.5
          44.0       5.1
          45.0       3.8
          52.0       2.1
          53.0       5.7
          54.0       7.3
          55.0      13.9
          56.0       3.5
          57.0      36.2
          58.0       6.2
          59.0     100.0
          60.0       4.2
          61.0       1.6
          67.0       7.6
          68.0      65.8
          69.0      48.8
          70.0      13.2
          71.0      34.8
          72.0       1.8
          73.0      14.1
          76.5       1.3
          80.0       2.1
          81.0       3.0
          82.0       5.7
          83.0       4.0
          84.0      11.9
          85.0      26.8
          86.0      18.8
          87.0       4.1
          89.0       1.1
          94.0       1.5
          95.0      13.6
          96.0       9.4
          97.0       9.7
          97.5       1.0
          98.0      10.7
          99.0       1.5
         100.0       1.5
         101.0       8.5
         108.0       2.0
         109.0       1.3
         110.0       2.1
         111.0       1.5
         112.0      21.1
         113.0      50.8
         114.0      32.9
         115.0      17.0
         116.0       1.2
         122.0       1.3
         124.0       3.6
         125.0       2.8
         126.0      11.0
         127.0       2.2
         129.0       8.6
         136.0       5.1
         137.0      19.3
         138.0       7.1
         139.0       1.3
         141.0       8.5
         142.0       4.1
         148.0       4.3
         152.0       2.5
         153.0       1.3
         154.0       1.0
         155.0       2.9
         157.0       4.8
         166.0       2.1
         167.0      10.3
         168.0       1.1
         170.0       3.0
         172.0       3.8
         173.0      82.5
         174.0       7.8
         175.0       1.2
         179.0      14.6
         180.0       2.7
         195.0       9.5
         196.0       2.3
         209.0      13.8
         210.0       1.7
         226.0       4.3
         227.0       2.2
         253.0       4.5
         269.0      26.7
         270.0       3.9
         284.0       4.6
    

400 MHz in DMSO-d6


  • 1H NMR 399.65 MHz
    C12 H16 N2 O6 0.039 g : 0.5 ml DMSO-d6
    2',3'-O-isopropylideneuridine
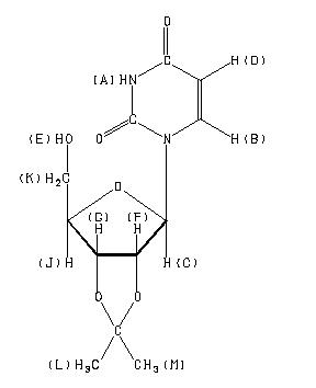
    ChemicalStructure
        Assign.     Shift(ppm)
    A 11.4 B 7.800 C 5.838 D 5.644 E 5.10 F 4.898 G 4.752 J 4.075 K 3.58 L *1 1.489 M *1 1.291 ASSIGNED BY C-H COSY

         Hz     ppm     Int.
    

       4552.42  11.392    149
       3121.52   7.811    297
       3113.46   7.791    307
       2334.46   5.842    255
       2331.89   5.835    252
       2259.73   5.655    189
       2251.67   5.635    189
       2043.22   5.113     79
       2037.91   5.100    179
       2032.60   5.086     83
       1962.45   4.911    117
       1959.70   4.904    114
       1956.03   4.895    139
       1953.47   4.888    140
       1903.83   4.764    131
       1900.35   4.756    135
       1897.60   4.749    109
       1893.94   4.739    111
       1634.94   4.091     52
       1630.55   4.080    135
       1626.70   4.071    138
       1622.49   4.060     56
       1446.47   3.620     33
       1441.34   3.607     36
       1439.51   3.602     82
       1434.38   3.590    132
       1429.80   3.578    105
       1427.97   3.574    140
       1422.84   3.561     80
       1416.06   3.544     40
        595.11   1.490   1000
        515.98   1.292    954
    

in DMSO-d6



KBr disc



nujol mull



4880 A,200 M,powder