-
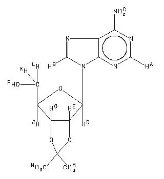
MS2014-05036CW 2',3'-O-isopropylideneadenosine C13H17N5O4 (Mass of molecular ion: 307)
Source Temperature: 250 °C Sample Temperature: 50 °C Direct, 70 eV
18.0 1.1 27.0 1.3 28.0 3.6 29.0 1.6 31.0 4.0 39.0 1.7 40.0 1.2 41.0 4.9 43.0 12.0 45.0 1.0 53.0 1.3 54.0 2.7 55.0 3.0 57.0 3.7 59.0 15.3 66.0 2.9 67.0 2.5 68.0 3.1 69.0 6.3 71.0 5.8 73.0 3.6 80.0 1.2 81.0 2.6 84.0 1.1 85.0 7.2 86.0 1.3 92.0 1.7 94.0 1.1 97.0 1.1 101.0 1.6 106.0 1.5 107.0 1.0 108.0 13.8 109.0 1.7 115.0 1.7 119.0 3.3 129.0 1.6 133.0 1.8 134.0 4.1 135.0 100.0 136.0 31.9 137.0 2.2 148.0 2.9 160.0 1.2 161.0 2.0 162.0 2.2 164.0 47.8 165.0 4.1 173.0 2.4 174.0 1.2 178.0 1.6 190.0 2.8 202.0 5.0 204.0 10.4 205.0 1.3 218.0 52.0 219.0 9.4 220.0 1.3 249.0 5.4 250.0 1.1 262.0 2.7 276.0 1.7 277.0 7.0 278.0 1.1 292.0 6.9 293.0 1.1 307.0 1.4 308.0 1.2
400 MHz in DMSO-d6
-
1H NMR 399.65 MHz C13 H17 N5 O4 0.040 g : 0.5 ml DMSO-d6 2',3'-O-isopropylideneadenosine 
Assign. Shift(ppm)
A 8.375 B 8.190 C 7.41 D 6.151 E 5.366 F 5.29 G 4.991 J 4.245 K *1 3.59 L *1 3.55 M *2 1.560 N *2 1.337 ASSIGNED BY H-H AND C-H COSY, AND ADDITION OF D2O. J(D,E)=3.1HZ J(E,G)=6.0HZ J(G,J)=2.3HZ J(F,K)=J(F,L)=5.6HZ J(J,K)=J(J,L)=4.6HZ J(K,L)=-11.5HZ
Hz ppm Int.3347.17 8.376 494 3273.16 8.191 518 2959.90 7.407 299 2460.02 6.156 244 2456.97 6.148 249 2149.35 5.379 121 2146.30 5.371 128 2143.40 5.364 138 2140.20 5.356 130 2121.28 5.308 91 2115.63 5.294 173 2110.14 5.280 94 1998.90 5.002 134 1996.61 4.996 139 1992.80 4.987 130 1990.36 4.981 126 1702.58 4.261 63 1698.00 4.249 140 1695.56 4.243 141 1690.98 4.232 68 1443.94 3.614 50 1437.23 3.597 89 1432.34 3.584 143 1427.61 3.573 141 1422.58 3.560 124 1416.93 3.546 95 1410.68 3.530 45 623.47 1.561 1000 534.67 1.338 967
更多供应商






