图谱信息 供应商 相关产品
网站主页CAS数据库列表 362-76-5更多图谱2',3'-O-异丙亚基鸟苷(362-76-5)核磁图(1HNMR)

2',3'-O-异丙亚基鸟苷

产品名称 2',3'-O-异丙亚基鸟苷

CAS号362-76-5

分子式C13H17N5O5

分子量323.3

展开


  • Mass

    MS2014-05037CW      
    2',3'-O-isopropylideneguanosine
    C13H17N5O5          (Mass of molecular ion:    323)
    

       Source Temperature: 250 °C
       Sample Temperature: 200 °C
       Direct, 70 eV
    

          18.0       1.0
          28.0       1.9
          29.0       1.1
          31.0       2.5
          39.0       1.2
          41.0       3.6
          43.0      11.8
          44.0       1.1
          53.0       1.3
          54.0       1.9
          55.0       2.7
          57.0       2.6
          59.0      11.3
          68.0       2.7
          69.0       5.9
          71.0       5.1
          73.0       3.3
          81.0       1.2
          85.0       4.2
          97.0       1.0
         101.0       1.4
         107.0       1.0
         108.0       2.8
         109.0       7.0
         110.0       5.7
         115.0       1.4
         129.0       1.3
         134.0       3.8
         135.0       4.0
         136.0       1.4
         150.0       1.3
         151.0     100.0
         152.0      17.6
         153.0       1.3
         154.0       1.2
         164.0       1.6
         173.0       1.3
         176.0       1.0
         177.0       1.3
         178.0       1.0
         180.0       3.6
         206.0       1.0
         218.0       2.6
         220.0       2.7
         234.0       6.0
         235.0       2.3
         293.0       2.9
         308.0       4.1
         323.0       9.0
         324.0       1.6
    

400 MHz in DMSO-d6


  • 1H NMR 399.65 MHz
    C13 H17 N5 O5 0.046 g : 0.5 ml DMSO-d6
    2',3'-O-isopropylideneguanosine
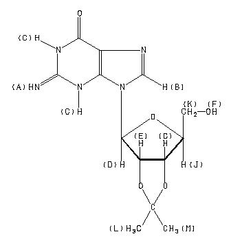
    ChemicalStructure
        Assign.     Shift(ppm)
    A 10.7 B 7.944 C 6.55 D 5.944 E 5.205 F 5.08 G 4.982 J 4.133 K 3.55 L *1 1.520 M *1 1.320

         Hz     ppm     Int.
    

       4296.17  10.750    197
       3175.37   7.946    604
       2628.26   6.577     32
       2626.97   6.574     38
       2618.55   6.553    150
       2609.21   6.529     30
       2377.13   5.949    268
       2374.39   5.942    267
       2084.80   5.217    125
       2082.05   5.210    123
       2078.57   5.201    137
       2075.83   5.195    136
       2034.80   5.092    103
       2029.30   5.078    241
       2023.81   5.064    102
       1995.42   4.993    135
       1992.49   4.986    134
       1989.19   4.978    114
       1986.26   4.970    114
       1658.57   4.151     58
       1655.28   4.142     69
       1653.44   4.138    130
       1650.33   4.130    127
       1648.50   4.125     69
       1645.38   4.118     56
       1430.53   3.580     35
       1424.12   3.564    107
       1420.64   3.555    127
       1418.99   3.551    181
       1415.51   3.542    179
       1414.05   3.539    130
       1410.20   3.529     97
       1403.97   3.513     32
        607.56   1.521   1000
        527.89   1.321    949
    

KBr disc



nujol mull



4880 A,200 M,powder