图谱信息 供应商 相关产品
网站主页CAS数据库列表 36301-96-9更多图谱H-ALA-PRO-GLY-OH(36301-96-9)核磁图(13CNMR)

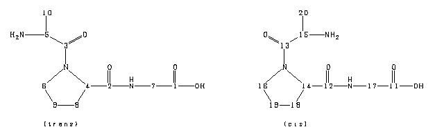
H-ALA-PRO-GLY-OH

产品名称 H-ALA-PRO-GLY-OH

CAS号36301-96-9

分子式C10H17N3O4

分子量243.26

展开



  •        ppm   Int.  Assign.
    176.99 502 1 11 174.10 673 2 12 170.17 576 3 13 61.52 824 4 61.14 255 14 48.95 897 5 15 48.55 1000 6 16 44.32 294 17 44.16 897 7 32.54 198 18 30.18 914 8 25.44 923 9 22.73 179 19 16.40 334 20 15.96 917 10
    Spectral Code: 13C NMR : in D2O