图谱信息 供应商 相关产品
网站主页CAS数据库列表 3644-61-9更多图谱盐酸托哌酮(3644-61-9)核磁图(1HNMR)

盐酸托哌酮

产品名称 盐酸托哌酮

CAS号3644-61-9

分子式C16H24ClNO

分子量281.82

展开


  • Mass

    MS-IW-2658          
    2,4'-dimethyl-3-piperidinopropiophenone hydrochloride
    C16H23NO HCl        (Mass of molecular ion:    245)
    

       Source Temperature: 150 °C
       Sample Temperature: 120 °C
       Direct, 75 eV
    

          28.0       1.6
          29.0       1.4
          30.0       1.5
          36.0       5.8
          38.0       2.0
          39.0       2.5
          41.0       5.5
          42.0       4.3
          43.0       1.5
          44.0       2.7
          55.0       4.5
          56.0       2.5
          57.0       1.7
          65.0       4.3
          69.0       1.8
          70.0       1.7
          84.0       5.9
          85.0       2.8
          89.0       1.0
          91.0      12.0
          92.0       1.0
          96.0       1.9
          97.0       3.5
          98.0     100.0
          99.0       7.1
         119.0      24.1
         120.0       2.1
         126.0       1.3
         132.0       1.6
         145.0       1.0
         160.0       5.5
         245.0       1.2
    

400 MHz in CDCl3


  • 1H NMR 399.65 MHz
    C16 H23 N O 0.038 g : 0.5 ml CDCl3
    2,4'-dimethyl-3-piperidinopropiophenone hydrochloride
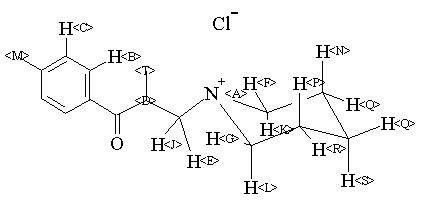
    ChemicalStructure
        Assign.     Shift(ppm)
    A 12.1 B 8.006 C 7.325 D 4.610 E 3.806 F *1 3.519 G *1 3.107 J 3.062 K *2 2.791 L *2 2.502 M 2.437 N 2.256 P 2.086 Q 1.84 R 1.729 S 1.379 T 1.290 J(E,J)=-12.6HZ J(E,D)=8.6HZ J(F,K)=-12.4HZ J(G,L)=-12.3HZ J(D,J)=2.0HZ ASSIGNED BY H-H AND C-H COSY.

         Hz     ppm     Int.
    

       3203.77   8.017    310
       3197.17   8.000    115
       3195.52   7.996    332
       2931.58   7.336    267
       2927.37   7.325     30
       2923.52   7.316    253
       2922.97   7.314    229
       1851.63   4.634     37
       1849.98   4.630     47
       1842.84   4.612     72
       1835.51   4.593     49
       1834.05   4.590     41
       1536.40   3.845     36
       1527.79   3.823     68
       1523.76   3.813     44
       1519.18   3.802     40
       1515.15   3.792     72
       1506.54   3.770     37
       1412.95   3.536     44
       1412.58   3.535     44
       1411.85   3.533     43
       1400.86   3.506     48
       1400.49   3.505     48
       1248.83   3.125     44
       1248.28   3.124     44
       1236.74   3.095     51
       1236.19   3.094     51
       1231.25   3.081     69
       1229.23   3.076     87
       1227.40   3.072     59
       1218.42   3.049     52
       1216.41   3.044     75
       1121.89   2.808     49
       1118.96   2.800     38
       1112.74   2.785     38
       1109.62   2.777     51
       1006.68   2.519     56
       1003.57   2.512     40
        997.34   2.496     41
        994.41   2.489     58
        974.08   2.438   1000
        909.79   2.277     40
        908.51   2.274     32
        907.96   2.272     32
        898.80   2.249     30
        894.95   2.240     39
        841.10   2.105     39
        839.82   2.102     31
        839.45   2.101     30
        828.46   2.073     31
        826.45   2.068     42
        744.94   1.864     69
        742.56   1.859     69
        736.51   1.843     47
        731.57   1.831     78
        731.20   1.830     77
        727.72   1.821     62
        698.78   1.749     45
        696.95   1.744     43
        684.31   1.713     38
        682.30   1.708     36
        557.38   1.395     44
        547.85   1.371     32
        544.37   1.363     40
        519.46   1.300    618
        512.13   1.282    610
    

in CDCl3



KBr disc



nujol mull