图谱信息 供应商 相关产品
网站主页CAS数据库列表 36697-72-0更多图谱2,2-双(2-唑啉)(36697-72-0)红外图谱(IR2)

2,2-双(2-唑啉)

产品名称 2,2-双(2-唑啉)

CAS号36697-72-0

分子式C6H8N2O2

分子量140.14

展开


  • Mass

    MS-NW-7941          
    2,2'-bis(2-oxazoline)
    C6H8N2O2            (Mass of molecular ion:    140)
    

       Source Temperature: 170 °C
       Sample Temperature: 100 °C
       Direct, 75 eV
    

          14.0       2.6
          15.0      22.4
          18.0       1.7
          26.0       2.6
          27.0       7.2
          28.0      43.1
          29.0       3.8
          30.0       1.1
          39.0       2.1
          40.0      11.6
          41.0      11.5
          42.0     100.0
          43.0       5.7
          44.0       1.7
          51.0       1.0
          52.0       2.4
          53.0       2.3
          54.0       9.0
          55.0       2.8
          56.0      16.1
          57.0       1.9
          66.0       1.7
          69.0       1.4
          70.0      12.2
          79.0       1.4
          80.0       3.2
          82.0       1.2
          83.0       5.7
          84.0       1.4
          85.0      11.6
          96.0       1.0
          97.0       2.0
         110.0      25.8
         111.0       5.6
         112.0       1.3
         113.0       5.2
         139.0      14.5
         140.0      78.7
         141.0       6.6
    

400 MHz in D2O


  • 1H NMR 399.65 MHz
    C6 H8 N2 O2 0.044 g : 0.5 ml D2O
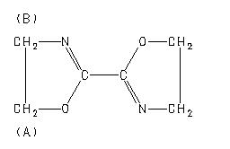
    2,2'-bis(2-oxazoline)
    ChemicalStructure
        Assign.     Shift(ppm)
    A 4.538 B 4.045

         Hz     ppm     Int.
    

       1824.46   4.566    431
       1814.33   4.540   1000
       1804.69   4.516    558
       1626.34   4.070    537
       1616.33   4.045    987
       1606.57   4.020    449
    

in D2O



KBr disc



nujol mull