-
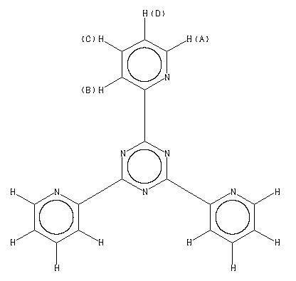
MS-NW-8768 2,4,6-tri(2-pyridyl)-1,3,5-triazine C18H12N6 (Mass of molecular ion: 312)
Source Temperature: 230 °C Sample Temperature: 170 °C Direct, 75 eV
27.0 1.1 28.0 1.2 50.0 3.9 51.0 7.3 52.0 3.8 53.0 2.2 64.0 1.3 76.0 3.6 77.0 22.7 78.0 23.1 79.0 9.5 103.0 1.6 104.0 37.2 105.0 100.0 106.0 7.2 130.0 1.5 156.0 1.9 207.0 6.9 208.0 13.1 209.0 1.9 311.0 2.7 312.0 60.3 313.0 14.0 314.0 1.5
90 MHz in CDCl3
-
1H NMR 89.56 MHz C18 H12 N6 0.048 g : 0.5 ml CDCl3 2,4,6-tri(2-pyridyl)-1,3,5-triazine 
Assign. Shift(ppm)
A 8.95 B 8.86 C 7.96 D 7.55
Hz ppm Int.805.69 8.997 485 804.81 8.987 640 803.88 8.976 648 803.00 8.967 640 801.00 8.944 518 800.13 8.935 779 799.13 8.923 802 798.63 8.918 1000 798.31 8.914 1000 797.69 8.907 897 797.38 8.904 910 796.44 8.893 511 790.75 8.830 730 789.81 8.819 969 788.63 8.806 620 722.25 8.065 487 720.44 8.045 515 714.63 7.980 921 712.75 7.959 878 706.81 7.893 613 704.94 7.872 573 682.06 7.616 680 680.75 7.602 705 677.38 7.564 604 676.06 7.549 659 674.50 7.532 504 673.19 7.517 456 669.75 7.479 457 668.50 7.465 428
更多供应商





