图谱信息 供应商 相关产品
网站主页CAS数据库列表 369-07-3更多图谱2-硝基苯-beta-D-半乳糖苷(369-07-3)Raman光谱

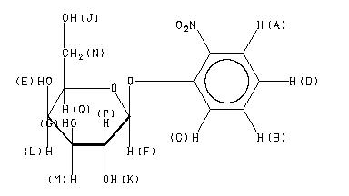
2-硝基苯-beta-D-半乳糖苷

产品名称 2-硝基苯-beta-D-半乳糖苷

CAS号369-07-3

分子式C12H15NO8

分子量301.25

展开


  • Mass

    MS-NW-2266          
    o-nitrophenyl beta-D-galactopyranoside
    C12H15NO8           (Mass of molecular ion:    301)
    

       Source Temperature: 230 °C
       Sample Temperature: 190 °C
       Direct, 75 eV
    

          14.0       2.9
          15.0      13.5
          17.0       3.9
          18.0      18.1
          19.0      13.0
          25.0       1.0
          26.0       6.7
          27.0      21.4
          28.0      12.8
          29.0      38.4
          30.0      15.0
          31.0      34.4
          32.0       2.9
          37.0       4.5
          38.0      11.7
          39.0      44.1
          40.0       3.8
          41.0      11.4
          42.0      14.0
          43.0      36.4
          44.0      14.9
          45.0      21.8
          46.0       1.0
          47.0       4.5
          49.0       1.3
          50.0       5.4
          51.0      10.0
          52.0       5.6
          53.0      11.9
          54.0       3.0
          55.0      19.1
          56.0      13.1
          57.0      36.7
          58.0       4.5
          59.0       2.8
          60.0      49.8
          61.0      17.8
          62.0       5.9
          63.0      24.6
          64.0      23.1
          65.0      43.2
          66.0       4.3
          67.0       1.5
          68.0       3.0
          69.0      14.3
          70.0      10.2
          71.0      20.0
          72.0      11.0
          73.0      64.3
          74.0      11.5
          75.0       3.0
          76.0       1.4
          77.0       2.1
          78.0       7.6
          79.0       1.7
          80.0       3.6
          81.0      23.5
          82.0       1.6
          83.0       1.1
          84.0       2.1
          85.0      16.1
          86.0       5.6
          87.0       8.6
          88.0       1.4
          89.0       4.3
          90.0       3.5
          91.0      23.0
          92.0      10.0
          93.0      13.1
          94.0       7.0
          95.0       2.4
          96.0       2.1
          97.0       8.8
          98.0       5.9
          99.0       2.5
         101.0       4.5
         102.0       3.8
         103.0       4.0
         106.0       6.0
         109.0      25.1
         110.0       2.0
         113.0       3.5
         114.0       2.5
         115.0       3.2
         116.0       1.5
         119.0       1.3
         122.0      10.1
         123.0       7.7
         124.0       1.1
         127.0       2.4
         131.0       2.1
         132.0       1.2
         133.0       2.1
         139.0     100.0
         140.0       8.0
         144.0       4.8
         145.0       3.2
    

400 MHz in DMSO-d6


  • 1H NMR 399.65 MHz
    C12 H15 N O8 0.029 g : 0.5 ml DMSO-d6
    o-nitrophenyl beta-D-galactopyranoside
    ChemicalStructure
        Assign.     Shift(ppm)
    A 7.846 B 7.632 C 7.428 D 7.174 E *1 5.18 F 5.043 G *1 4.93 J 4.70 K *1 4.62 L 3.711 M 3.648 N 3.57 P 3.50 Q 3.42

         Hz     ppm     Int.
    

       3140.75   7.859    578
       3139.16   7.855    614
       3132.69   7.839    636
       3131.10   7.835    632
       3060.06   7.657    254
       3058.47   7.653    258
       3051.27   7.635    525
       3050.05   7.632    412
       3044.19   7.618    355
       3042.48   7.613    334
       2972.41   7.438    677
       2968.38   7.428     92
       2964.36   7.418    560
       2875.24   7.195    362
       2874.27   7.192    377
       2866.94   7.174    651
       2862.92   7.164     72
       2859.74   7.156    328
       2858.89   7.154    328
       2072.75   5.187   1000
       2067.50   5.174   1000
       2019.53   5.054    785
       2011.96   5.035    806
       1972.29   4.936    913
       1966.43   4.921    929
       1881.96   4.710    422
       1876.46   4.696    967
       1870.97   4.682    449
       1849.98   4.630    820
       1845.58   4.618    815
       1486.69   3.720    375
       1483.03   3.711    571
       1479.37   3.702    372
       1464.23   3.664    241
       1458.01   3.649    540
       1452.03   3.634    376
       1447.14   3.622     60
       1446.53   3.620     60
       1442.75   3.611    201
       1437.50   3.597    246
       1433.35   3.587    454
       1427.86   3.573    536
       1425.78   3.568    369
       1422.24   3.559    498
       1420.65   3.555    398
       1416.75   3.545    549
       1411.13   3.531    325
       1408.81   3.526    359
       1403.20   3.512    414
       1396.85   3.496    327
       1392.33   3.484    207
       1388.18   3.474     59
       1385.86   3.468    128
       1374.76   3.440    289
       1371.58   3.432    275
       1368.90   3.426    306
       1365.48   3.417    424
       1362.06   3.409    243
       1359.38   3.402    253
       1355.96   3.393    323
    

KBr disc



nujol mull



4880 A,200 M,powder