图谱信息 供应商 相关产品
网站主页CAS数据库列表 36930-64-0更多图谱8-[2-(2-碘乙酰氨基)乙氨基]-1-萘磺酸(36930-64-0)红外图谱(IR2)

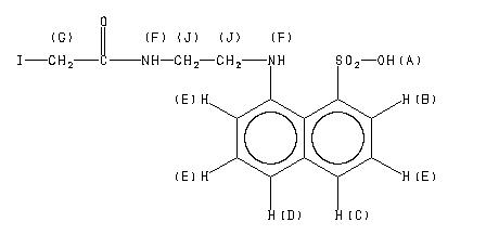
8-[2-(2-碘乙酰氨基)乙氨基]-1-萘磺酸

产品名称 8-[2-(2-碘乙酰氨基)乙氨基]-1-萘磺酸

CAS号36930-64-0

分子式C14H15IN2O4S

分子量434.25

展开


  • Mass

    MS-NW-8976          
    8-(2-(2-iodoacetamido)ethylamino)-1-naphthalenesulfonic acid
    C14H15IN2O4S        (Mass of molecular ion:    434)
    

       Source Temperature: 220 °C
       Sample Temperature: 300 °C
       Direct, 75 eV
    

          15.0       2.5
          16.0       6.3
          17.0      13.1
          18.0      44.8
          27.0       1.9
          28.0       7.6
          29.0       2.0
          30.0       3.7
          31.0       2.4
          32.0       3.2
          33.0       1.6
          34.0      23.6
          39.0       2.7
          40.0       2.1
          41.0       5.7
          42.0       5.9
          43.0      14.4
          44.0       9.3
          45.0       1.9
          48.0      18.7
          50.0       1.3
          51.0       1.5
          54.0       2.3
          55.0      11.2
          56.0       3.0
          57.0       2.8
          58.5       1.3
          59.0       6.9
          60.0       5.5
          63.0       2.7
          64.0      71.2
          65.0       1.9
          66.0       3.8
          68.0       1.0
          69.0       1.9
          70.0       1.7
          70.5       2.1
          71.0       1.3
          71.5       3.4
          73.0       2.6
          74.0       1.1
          75.0       1.6
          76.0       1.5
          77.0       2.3
          82.0       1.6
          83.0       2.9
          83.5       1.4
          84.0       4.5
          85.0       2.0
          86.0       1.6
          87.0       1.3
          88.0       1.5
          89.0       3.7
          90.0       1.4
          91.0       1.1
          97.0       1.8
          98.0       1.1
         101.0       1.5
         113.0       2.4
         114.0       4.7
         115.0      33.1
         116.0      15.1
         117.0       2.6
         126.0       3.3
         127.0      20.0
         128.0      52.9
         129.0       2.0
         139.0       4.1
         140.0       7.0
         141.0       7.5
         142.0       5.5
         143.0     100.0
         144.0      12.5
         152.0       1.4
         153.0       2.0
         154.0       6.2
         155.0       2.4
         156.0       5.9
         157.0       2.1
         158.0       2.8
         159.0       1.1
         165.0       1.0
         166.0       3.8
         167.0      16.4
         168.0       7.8
         169.0       5.7
         170.0       1.6
         171.0       1.0
         179.0       1.8
         180.0       4.6
         181.0       4.4
         182.0       2.0
         183.0       2.9
         185.0      18.9
         186.0       3.2
         192.0       1.0
         193.0       2.8
         194.0       3.9
         195.0       2.0
         199.0       2.1
         205.0       2.9
         206.0       1.8
         207.0       1.7
         208.0       3.8
         209.0       3.1
         210.0       7.0
         211.0       1.7
         212.0       2.1
         218.0       1.4
         219.0       1.1
         223.0       3.6
         224.0       1.3
         232.0       1.2
         234.0       1.0
         279.0       2.6
         305.0       1.0
         306.0       2.9
         318.0       2.0
    

400 MHz in DMSO-d6

90 MHz in DMSO-d6


  • 1H NMR 399.65 MHz
    C14 H15 I N2 O4 S ca 1 mg : 0.5 ml DMSO-d6
    8-(2-(2-iodoacetamido)ethylamino)-1-naphthalenesulfonic acid
    ChemicalStructure
        Assign.     Shift(ppm)
    A 8.60 B 8.337 C 8.146 D 8.060 E 7.69 F 7.66 G 7.63 K 3.700 L 3.56

         Hz     ppm     Int.
    

       3436.52   8.599     96
       3336.55   8.349    156
       3335.08   8.346    174
       3329.10   8.331    173
       3327.76   8.327    173
       3260.25   8.158    124
       3259.16   8.156    133
       3251.95   8.137    142
       3250.85   8.135    130
       3225.71   8.072     96
       3224.12   8.068     98
       3218.38   8.053     99
       3218.02   8.053    100
       3216.31   8.048    101
       3081.79   7.712     85
       3077.64   7.701     30
       3077.15   7.700     31
       3074.22   7.693    213
       3071.53   7.686     36
       3071.17   7.685     34
       3070.56   7.684     39
       3070.31   7.683     39
       3069.82   7.682     42
       3066.65   7.674    240
       3065.55   7.671    185
       3063.60   7.666    168
       3060.67   7.659     34
       3057.86   7.652     67
       3054.57   7.644    164
       3047.12   7.625    175
       3046.51   7.623    177
       3039.06   7.605    132
       1484.13   3.714     30
       1478.88   3.701   1000
       1434.81   3.591     36
       1434.45   3.590     37
       1433.96   3.589     37
       1433.35   3.587     39
       1432.74   3.585     42
       1432.50   3.585     42
       1431.88   3.583     46
       1431.52   3.582     49
       1430.54   3.580     54
       1430.18   3.579     57
       1429.57   3.578     61
       1423.10   3.561    540
       1417.48   3.547    134
       1416.63   3.545    138
       1412.35   3.534     37
       1411.87   3.533     37
       1411.50   3.532     36
       1411.13   3.531     36
       1410.52   3.530     33
       1409.79   3.528     30
    


  • 1H NMR 89.56 MHz
    C14 H15 I N2 O4 S 0.033 g : 0.5 ml CDCl3
    8-(2-(2-iodoacetamido)ethylamino)-1-naphthalenesulfonic acid
    ChemicalStructure
        Assign.     Shift(ppm)
    A *1 8.55 B 8.33 C 8.13 D 8.07 E 7.88 to 7.45 F *1 6.94 G 3.697 J 3.57

         Hz     ppm     Int.
    

        766.00   8.553    120
        755.06   8.431     60
        754.38   8.424     76
        753.88   8.418     80
        753.50   8.414     86
        753.00   8.408     87
        750.88   8.385    190
        749.25   8.366    198
        748.00   8.352    109
        747.63   8.348    110
        747.00   8.341    116
        746.56   8.336    123
        745.81   8.328    124
        745.19   8.321    134
        743.50   8.302    247
        742.13   8.287    228
        740.44   8.268    107
        739.81   8.261    102
        739.31   8.255    102
        738.00   8.241     71
        736.75   8.227     77
        735.88   8.217     98
        735.25   8.210    107
        733.81   8.194    178
        732.81   8.183    149
        732.50   8.179    160
        730.31   8.155     85
        729.94   8.151     84
        729.56   8.147     88
        725.75   8.104    275
        724.19   8.087    209
        722.50   8.068    152
        720.81   8.049    143
        719.31   8.032     92
        717.25   8.009    154
        716.94   8.006    154
        714.31   7.976     58
        713.81   7.971     62
        713.50   7.967     65
        713.13   7.963     64
        710.50   7.934     58
        702.56   7.845     69
        702.13   7.840     70
        701.50   7.833     64
        701.13   7.829     60
        700.75   7.825     58
        700.38   7.821     59
        699.31   7.809     59
        697.19   7.785     97
        696.19   7.774     72
        695.81   7.770     73
        694.63   7.757    101
        693.81   7.747     93
        689.63   7.701    472
        686.31   7.664    160
        684.06   7.639    434
        681.94   7.615    278
        678.94   7.581     65
        678.31   7.574     66
        677.56   7.566     75
        676.88   7.558     83
        676.31   7.552     85
        675.81   7.546     90
        675.31   7.541     86
        673.63   7.522    160
        672.31   7.507     71
        671.94   7.503     69
        671.63   7.500     66
        671.06   7.493     64
        670.56   7.488     66
        670.06   7.482     62
        669.69   7.478     65
        669.38   7.475     60
        619.94   6.923    169
        331.13   3.698   1000
        319.50   3.568    745
    

KBr disc



nujol mull