图谱信息 供应商 相关产品
网站主页CAS数据库列表 37052-78-1更多图谱2-巯基-5-甲氧基苯并咪唑(37052-78-1)质谱(MS)

2-巯基-5-甲氧基苯并咪唑

产品名称 2-巯基-5-甲氧基苯并咪唑

CAS号37052-78-1

分子式C8H8N2OS

分子量180.23


  • Mass

    MS-IW-9095          
    5-methoxy-2-benzimidazolethiol
    C8H8N2OS            (Mass of molecular ion:    180)
    

       Source Temperature: 170 °C
       Sample Temperature: 180 °C
       Direct, 75 eV
    

          27.0       1.1
          28.0       3.1
          38.0       1.3
          39.0       2.4
          45.0       2.5
          50.0       2.1
          51.0       5.1
          52.0       6.2
          53.0       2.7
          62.0       1.6
          63.0       3.8
          64.0       1.7
          65.0       2.1
          66.0       2.1
          68.0       1.1
          70.0       1.4
          76.0       1.6
          77.0       2.1
          78.0       4.1
          79.0       2.9
          80.0       3.6
          83.0       1.7
          90.0       8.7
          91.0       1.0
          92.0       1.3
          93.0       6.4
         105.0       3.1
         106.0       2.9
         109.0       2.1
         110.0       1.8
         122.0       1.2
         133.0       2.9
         136.0       1.0
         137.0      26.8
         138.0       2.4
         139.0       1.4
         148.0       3.1
         149.0       2.2
         152.0       8.4
         165.0      78.8
         166.0       7.4
         167.0       4.1
         179.0       7.5
         180.0     100.0
         181.0      10.9
         182.0       5.2
    

400 MHz in DMSO-d6


  • 1H NMR 399.65 MHz
    C8 H8 N2 O S 0.040 g : 0.5 ml DMSO-d6
    5-methoxy-2-benzimidazolethiol
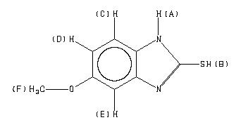
    ChemicalStructure
        Assign.     Shift(ppm)
    A *1 12.5 B *1 12.4 C 7.066 D 6.749 E 6.710 F 3.764

         Hz     ppm     Int.
    

       4979.27  12.460     89
       4964.09  12.422     85
       2828.75   7.079    143
       2820.20   7.057    163
       2702.89   6.764    105
       2700.33   6.757    133
       2694.13   6.742     87
       2691.78   6.736    130
       2683.02   6.714    179
       2680.67   6.708    137
       1504.55   3.765   1000
    

in DMSO-d6



KBr disc



nujol mull