-
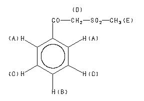
MS-NW-2358 alpha-mesylacetophenone C9H10O3S (Mass of molecular ion: 198)
Source Temperature: 280 °C Sample Temperature: 170 °C Reservoir, 75 eV
15.0 2.9 17.0 1.7 18.0 8.2 27.0 1.0 28.0 3.2 32.0 1.9 39.0 2.9 44.0 1.4 50.0 3.2 51.0 10.4 63.0 1.5 65.0 4.7 76.0 1.4 77.0 31.9 78.0 3.2 79.0 2.3 89.0 1.0 91.0 8.1 105.0 100.0 106.0 7.4 198.0 4.7
400 MHz in CDCl3
90 MHz in CDCl3
-
1H NMR 399.65 MHz C9 H10 O3 S 0.041 g : 0.5 ml CDCl3 alpha-mesylacetophenone 
Assign. Shift(ppm)
A 7.995 B 7.647 C 7.518 D 4.627 E 3.141
Hz ppm Int.3201.90 8.012 38 3200.07 8.008 196 3199.46 8.006 156 3198.85 8.005 242 3197.14 8.000 94 3193.60 7.991 74 3191.65 7.987 258 3190.31 7.983 235 3065.92 7.672 39 3064.58 7.669 72 3063.35 7.666 45 3058.96 7.655 49 3057.13 7.650 145 3055.42 7.646 60 3051.03 7.635 68 3049.80 7.632 115 3048.46 7.628 64 3013.18 7.540 48 3011.47 7.536 196 3009.89 7.532 90 3003.91 7.517 213 3003.42 7.516 255 3002.20 7.513 93 2997.80 7.502 60 2995.97 7.497 128 2995.48 7.496 103 2994.38 7.493 38 1849.49 4.628 493 1848.63 4.626 491 1256.10 3.144 534 1255.25 3.141 1000 1254.39 3.139 658
-
1H NMR 89.56 MHz C9 H10 O3 S 0.042 g : 0.5 ml CDCl3 alpha-mesylacetophenone 
Assign. Shift(ppm)
A 7.99 B 7.79 to 7.37 C 4.62 D 3.14
Hz ppm Int.721.06 8.052 139 719.50 8.034 154 717.81 8.015 61 717.25 8.009 60 715.44 7.989 57 713.25 7.964 171 711.31 7.943 222 687.00 7.671 64 686.06 7.661 84 683.44 7.632 45 681.88 7.614 114 680.06 7.594 193 679.31 7.585 209 678.75 7.579 237 677.00 7.560 96 674.56 7.532 69 672.94 7.514 76 671.38 7.497 162 669.88 7.480 34 665.38 7.430 51 662.63 7.399 40 413.88 4.622 467 413.06 4.613 451 281.94 3.149 542 281.13 3.140 1000 280.31 3.130 488
更多供应商






