
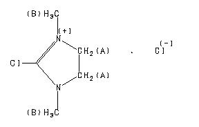
2-氯-1,3-二甲基氯化咪唑啉
产品名称
2-氯-1,3-二甲基氯化咪唑啉
CAS号37091-73-9
分子式C5H10Cl2N2
分子量169.05
InChIInChI=1S/C5H10ClN2.ClH/c1-7-3-4-8(2)5(7)6;/h3-4H2,1-2H3;1H/q+1;/p-1
InChIKeyAEBBXVHGVADBHA-UHFFFAOYSA-M
SmilesClC1=[N+](CCN1C)C.[Cl-]
展开
收起
2-氯-1,3-二甲基氯化咪唑啉(37091-73-9)红外图谱(IR2) 相关产品图谱