图谱信息 供应商 相关产品
网站主页CAS数据库列表 3717-88-2更多图谱盐酸黄酮哌酯(3717-88-2)红外图谱(IR1)

盐酸黄酮哌酯

产品名称 盐酸黄酮哌酯

CAS号3717-88-2

分子式C24H26ClNO4

分子量427.92

展开


  • Mass

    MS-IW-3766          
    flavoxate hydrochloride
    C24H25NO4 HCl       (Mass of molecular ion:    391)
    

       Source Temperature: 170 °C
       Sample Temperature: 150 °C
       Direct, 75 eV
    

          36.0       3.5
          38.0       1.2
          41.0       2.9
          42.0       2.8
          44.0       2.0
          55.0       4.2
          56.0       1.2
          63.0       1.3
          69.0       1.9
          70.0       1.3
          77.0       1.0
          91.0       1.6
          96.0       5.1
          98.0     100.0
          99.0       7.3
         109.0       1.1
         110.0       1.6
         111.0      21.0
         112.0       2.1
         115.0       3.4
         119.0       2.1
         147.0       7.0
         234.0       1.5
         235.0       9.6
         236.0       4.4
         263.0       1.7
         279.0       3.9
         280.0       1.7
    

400 MHz in CDCl3


  • 1H NMR 399.65 MHz
    C24 H25 N O4 saturated in CDCl3
    flavoxate hydrochloride
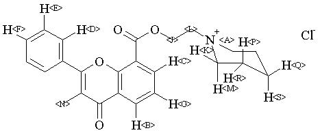
    ChemicalStructure
        Assign.     Shift(ppm)
    A 12.56 B 8.507 C 8.345 D 7.770 E 7.63 F 7.59 G 7.489 J 4.957 K 3.481 L 3.304 M 2.417 N 2.221 P 2.16 Q 1.806 R 1.688 S 1.214 ASSIGNED BY H-H AND C-H COSY.

         Hz     ppm     Int.
    

       3404.88   8.520    104
       3403.05   8.516    117
       3397.01   8.500    120
       3395.17   8.496    121
       3339.86   8.357    114
       3338.03   8.353    117
       3332.35   8.339    130
       3330.52   8.334    118
       3111.27   7.785    108
       3109.43   7.781    125
       3107.42   7.776     42
       3104.67   7.769     69
       3103.57   7.766     95
       3102.84   7.764    163
       3101.56   7.761    152
       3059.61   7.656     44
       3057.23   7.650     52
       3051.55   7.636    110
       3050.82   7.634    165
       3049.36   7.631     64
       3048.26   7.628     44
       3045.14   7.620     65
       3043.49   7.616    144
       3042.95   7.615    152
       3041.11   7.610    133
       3039.46   7.606     66
       3037.27   7.600     32
       3034.70   7.594     56
       3033.97   7.592     54
       3000.82   7.509    110
       2993.12   7.490    161
       2985.43   7.471    109
       1986.07   4.970     84
       1982.78   4.962     70
       1981.13   4.958     91
       1979.48   4.954     70
       1976.18   4.945     88
       1397.56   3.497     42
       1385.84   3.468     45
       1322.46   3.310     62
       1321.18   3.306     61
       1320.26   3.304     61
       1319.90   3.303     61
       1319.35   3.302     61
       1317.88   3.298     62
        972.06   2.433     31
        971.70   2.432     31
        971.33   2.431     31
        970.97   2.430     31
        970.60   2.429     31
        970.23   2.428     30
        962.17   2.408     32
        961.07   2.405     33
        960.71   2.404     33
        887.81   2.222   1000
        868.76   2.174     31
        868.39   2.173     31
        867.48   2.171     30
        854.47   2.139     32
        680.83   1.704     42
        666.73   1.669     35
        666.36   1.668     36
    

in CDCl3



KBr disc



nujol mull