图谱信息 供应商 相关产品
网站主页CAS数据库列表 3734-67-6更多图谱酸性红1(3734-67-6)红外图谱(IR1)

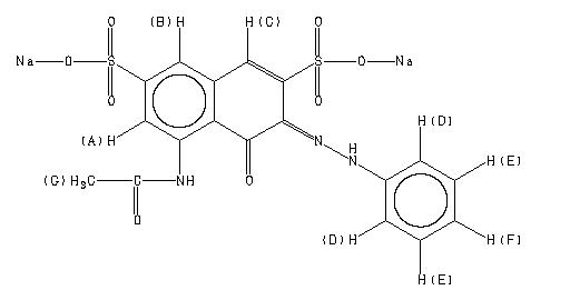
酸性红1

产品名称 酸性红1

CAS号3734-67-6

分子式C18H13N3Na2O8S2

分子量509.42

展开

400 MHz in D2O at 60.C


  • 1H NMR 399.65 MHz
    C18 H13 N3 Na2 O8 S2 0.042 g : 0.5 ml D2O at 60 C
    azophloxine
    ChemicalStructure
        Assign.     Shift(ppm)
    A 8.635 B 7.639 C 7.513 D 7.303 E 7.022 F 6.824 G 2.303 SOLVENT PEAK REMOVED

         Hz     ppm     Int.
    

       3451.90   8.638    235
       3450.20   8.634    237
       3053.59   7.641    199
       3052.12   7.637    199
       3002.56   7.513    323
       2922.73   7.314    181
       2915.16   7.295    204
       2814.33   7.042    119
       2806.76   7.024    201
       2802.12   7.012     36
       2798.58   7.003    124
       2734.25   6.842     70
       2726.93   6.824    114
       2719.48   6.805     51
        920.65   2.304   1000
    

in D2O



KBr disc



nujol mull