2,3-DIPHENYL-5-(P-DIPHENYL)TETRAZOLIUM CHLORIDE
产品名称 2,3-DIPHENYL-5-(P-DIPHENYL)TETRAZOLIUM CHLORIDE
CAS号37632-83-0
分子式C25H19ClN4
分子量410.9
-
MS2003-01891WA 5-(4-biphenylyl)-2,3-diphenyl-2H-tetrazolium chloride C25H19ClN4 (Mass of molecular ion: 410)
Source Temperature: 250 °C Sample Temperature: 200 °C Direct, 70 eV
18.0 1.5 28.0 4.2 35.0 1.0 36.0 5.4 38.0 1.8 39.0 3.2 41.0 2.1 44.0 1.3 50.0 1.6 51.0 4.0 52.0 2.0 62.0 1.4 63.0 7.4 64.0 17.0 65.0 6.0 74.0 1.1 75.0 2.1 76.0 2.5 77.0 4.3 78.0 1.3 89.0 2.9 90.0 9.4 91.0 100.0 92.0 9.7 93.0 1.1 98.0 1.0 99.0 1.6 101.0 1.1 102.0 1.5 113.0 1.4 115.0 1.9 125.0 39.2 126.0 5.1 127.0 13.7 128.0 1.7 135.0 1.3 139.0 2.5 140.0 3.4 150.0 2.5 151.0 9.6 152.0 12.0 153.0 5.7 154.0 1.2 163.0 1.3 164.0 2.1 165.0 2.2 166.0 3.7 167.0 9.0 168.0 1.8 176.0 1.3 177.0 6.7 178.0 10.9 179.0 26.3 180.0 5.3 181.0 2.7 193.0 1.1 201.0 1.6 226.0 1.0 239.0 1.9 240.0 1.3 241.0 3.9 242.0 2.9 243.0 1.9 253.0 1.1 254.0 1.7 255.0 2.5 268.0 1.3 269.0 11.4 270.0 92.2 271.0 20.4 272.0 2.8 303.0 1.4 304.0 21.5 305.0 5.3 306.0 14.4 307.0 3.1 308.0 2.6 340.0 3.0 342.0 2.2 344.0 1.0 345.0 4.6 346.0 11.6 347.0 3.3 379.0 2.1 380.0 5.8 381.0 2.2 382.0 2.9 414.0 2.0 415.0 1.1 416.0 1.7
400 MHz in DMSO-d6
-
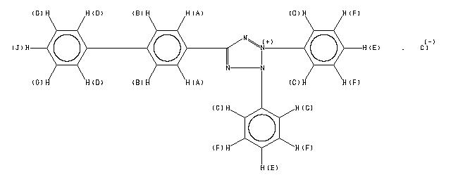
1H NMR 399.65 MHz C25 H19 Cl N4 0.039 g : 0.5 ml DMSO-d6 5-(4-biphenylyl)-2,3-diphenyl-2H-tetrazolium chloride 
Assign. Shift(ppm)
A 8.425 B 8.10 C 8.037 D 7.85 E 7.81 F 7.725 G 7.569 J 7.495 ASSIGNED BY H-H COSY
Hz ppm Int.3371.73 8.437 522 3370.06 8.433 241 3365.17 8.421 276 3363.19 8.416 659 3253.78 8.142 31 3244.48 8.119 188 3242.49 8.114 594 3240.51 8.109 305 3235.78 8.097 287 3233.80 8.092 599 3220.21 8.058 214 3216.40 8.049 805 3210.91 8.035 280 3209.08 8.030 1000 3207.70 8.027 756 3146.97 7.875 327 3145.45 7.871 461 3143.01 7.865 279 3139.65 7.857 393 3137.66 7.852 662 3135.83 7.847 327 3128.66 7.829 300 3127.75 7.827 298 3122.41 7.813 162 3120.27 7.808 530 3118.29 7.803 215 3114.01 7.792 247 3112.79 7.789 400 3111.57 7.786 256 3094.33 7.743 713 3092.96 7.740 474 3086.40 7.723 917 3080.75 7.709 181 3079.07 7.705 363 3078.16 7.703 287 3033.14 7.590 278 3025.97 7.572 602 3018.19 7.553 405 3002.17 7.512 171 3001.10 7.510 278 2999.88 7.507 185 2995.76 7.496 122 2993.62 7.491 349 2991.64 7.486 102 2987.52 7.476 74 2986.45 7.473 117 2985.23 7.470 76
更多供应商
2,3-DIPHENYL-5-(P-DIPHENYL)TETRAZOLIUM CHLORIDE(37632-83-0)红外图谱(IR1) 相关产品图谱
2,3-DIPHENYL-5-(P-DIPHENYL)TETRAZOLIUM CHLORIDE(37632-83-0)核磁图(1HNMR)
2,3-DIPHENYL-5-(P-DIPHENYL)TETRAZOLIUM CHLORIDE(37632-83-0)红外图谱(IR1)
2,3-DIPHENYL-5-(P-DIPHENYL)TETRAZOLIUM CHLORIDE(37632-83-0)质谱(MS)
2,3-DIPHENYL-5-(P-DIPHENYL)TETRAZOLIUM CHLORIDE(37632-83-0)红外图谱(IR2)
2,3-二苯基-5-(对甲苯基)氯化四氮唑(10557-48-9)质谱(MS)




