图谱信息 供应商 相关产品
网站主页CAS数据库列表 3767-28-0更多图谱4-硝基苯-Α-D-葡吡喃糖苷(3767-28-0)Raman光谱

4-硝基苯-Α-D-葡吡喃糖苷

产品名称 4-硝基苯-Α-D-葡吡喃糖苷

CAS号3767-28-0

分子式C12H15NO8

分子量301.25

展开

400 MHz in DMSO-d6


  • 1H NMR 399.65 MHz
    C12 H15 N O8 0.040 g : 0.5 ml DMSO-d6
    p-nitrophenyl alpha-D-glucopyranoside
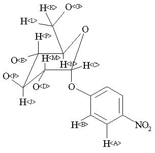
    ChemicalStructure
        Assign.     Shift(ppm)
    A 8.230 B 7.301 C 5.649 D 5.26 E 5.09 F 5.07 G 4.54 J 3.658 K *1 3.571 L *1 3.48 M 3.441 N 3.393 D 3.233 THE H2O SIGNAL ABOUT 3.45 PPM REMOVED. ASSIGNED BY H-H COSY AND ADDITION OF D2O. J(C,M) = 3.4 HZ J(D,M) = 6.1 HZ J(E,P) = 5.7 HZ J(F,J) = 5.1 HZ J(G,K) = 5.6 HZ J(G,L) = 5.9 HZ J(J,M) = 9.5 HZ J(J,P) = 8.9 HZ J(K,L) = -11.7 HZ J(K,N) = 2.0 HZ J(L,N) = 5.3 HZ J(N,P) = 10.1 HZ

         Hz     ppm     Int.
    

       3297.49   8.251     76
       3294.07   8.243    895
       3291.75   8.237    262
       3289.31   8.231     45
       3286.87   8.225    252
       3284.67   8.219   1000
       3281.25   8.211    101
       2926.03   7.322     84
       2922.61   7.313    881
       2920.29   7.308    256
       2917.85   7.302     47
       2915.53   7.296    238
       2913.21   7.290    857
       2909.79   7.281     91
       2259.52   5.654    370
       2255.98   5.645    377
       2107.18   5.273    520
       2100.95   5.257    536
       2036.13   5.095    509
       2030.03   5.080    805
       2024.78   5.067    523
       1819.82   4.554    183
       1814.09   4.540    450
       1808.23   4.525    192
       1474.73   3.691     81
       1469.73   3.678     84
       1465.33   3.667    142
       1460.33   3.655    148
       1456.42   3.645    118
       1451.29   3.632    124
       1438.72   3.600     64
       1436.52   3.595     73
       1432.86   3.586     69
       1430.79   3.581     85
       1426.76   3.571    132
       1424.68   3.565    123
       1422.85   3.561     64
       1421.02   3.556    124
       1419.07   3.551    116
       1403.08   3.511     90
       1397.46   3.497    176
       1391.48   3.482    181
       1389.89   3.478    184
       1385.99   3.469    222
       1383.67   3.463    167
       1380.00   3.454    305
       1376.46   3.445    194
       1373.05   3.436    375
       1370.48   3.430    270
       1364.01   3.414    151
       1362.06   3.409    125
       1358.64   3.400     99
       1356.57   3.395     83
       1353.88   3.388    129
       1351.93   3.383    136
       1348.88   3.376    116
       1346.68   3.370     96
       1303.71   3.263    118
       1297.97   3.248    119
       1294.92   3.241    136
       1293.95   3.238    121
       1291.63   3.232     34
       1289.18   3.226    134
       1288.21   3.224    125
       1285.16   3.216     88
       1279.30   3.202     83
    

in DMSO-d6