400 MHz in CDCl3
-
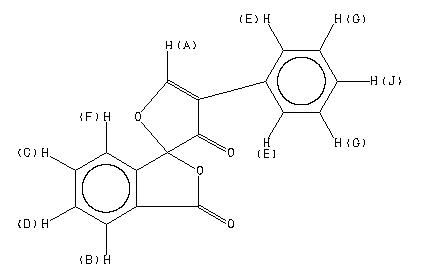
1H NMR 399.65 MHz C17 H10 O4 0.015 g : 0.5 ml CDCl3 fluorescamine 
Assign. Shift(ppm)
A 8.741 B 7.978 C 7.739 D 7.70 E 7.69 F 7.45 G 7.42 J 7.365 ASSIGNED BY H-H COSY
Hz ppm Int.3496.40 8.749 30 3493.50 8.742 1000 3193.21 7.991 143 3192.29 7.988 184 3190.92 7.985 140 3185.73 7.972 175 3185.12 7.970 194 3184.51 7.969 189 3183.75 7.967 161 3102.87 7.764 77 3101.65 7.761 90 3095.40 7.746 227 3094.18 7.743 236 3088.07 7.727 219 3086.70 7.724 190 3083.65 7.716 196 3082.43 7.713 227 3078.46 7.703 300 3076.93 7.700 469 3076.32 7.698 397 3075.10 7.695 314 3071.44 7.686 204 3069.92 7.682 414 3068.70 7.679 417 3066.56 7.674 59 2982.64 7.464 168 2981.72 7.461 214 2981.26 7.460 207 2975.31 7.445 215 2974.24 7.443 285 2973.33 7.440 328 2971.65 7.436 87 2966.31 7.423 432 2964.78 7.419 216 2960.21 7.408 142 2958.83 7.404 293 2956.54 7.398 52 2949.98 7.382 116 2948.46 7.378 216 2947.08 7.375 121 2943.57 7.366 77 2941.44 7.361 243 2938.54 7.353 49 2935.18 7.345 44 2933.81 7.341 70 2932.59 7.338 35
更多供应商




