图谱信息 供应商 相关产品
网站主页CAS数据库列表 38184-47-3更多图谱3,5-二甲基吡唑-1-硝酸咪(38184-47-3)红外图谱(IR2)

3,5-二甲基吡唑-1-硝酸咪

产品名称 3,5-二甲基吡唑-1-硝酸咪

CAS号38184-47-3

分子式C6H11N5O3

分子量201.18

展开


  • Mass

    MS-IW-0571          
    3,5-dimethyl-1-pyrazolecarboxamidine nitrate
    C6H10N4 HNO3        (Mass of molecular ion:    138)
    

       Source Temperature: 200 °C
       Sample Temperature: 120 °C
       Direct, 75 eV
    

          18.0       3.4
          27.0       2.5
          28.0       5.7
          29.0       1.1
          30.0       4.1
          39.0       5.2
          40.0       2.0
          41.0       7.8
          42.0      18.6
          43.0       9.7
          46.0      11.4
          52.0       1.3
          53.0       1.2
          54.0       8.9
          55.0       4.9
          56.0       1.5
          65.0       2.4
          66.0       1.4
          67.0       2.2
          68.0       3.0
          69.0       2.4
          81.0       9.4
          95.0      72.7
          96.0     100.0
          97.0       7.3
         138.0      35.4
         139.0       4.0
    

400 MHz in DMSO-d6


  • 1H NMR 399.65 MHz
    C6 H10 N4 0.039 g : 0.5 ml DMSO-d6
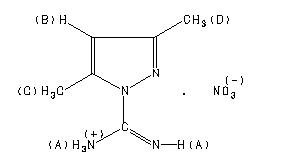
    3,5-dimethyl-1-pyrazolecarboxamidine nitrate
    ChemicalStructure
        Assign.     Shift(ppm)
    A 9.17 B 6.344 C *1 2.489 D *1 2.222

         Hz     ppm     Int.
    

       3663.64   9.168    151
       2535.25   6.344    222
        995.18   2.491    698
        994.42   2.489    727
        888.37   2.223   1000
    

in DMSO-d6



KBr disc



nujol mull



4880 A,200 M,powder