图谱信息 供应商 相关产品
网站主页CAS数据库列表 383177-54-6更多图谱4-吡啶乙醇盐酸盐(383177-54-6)质谱(MS)

4-吡啶乙醇盐酸盐

产品名称 4-吡啶乙醇盐酸盐

CAS号383177-54-6

分子式C7H10ClNO

分子量159.61


  • Mass

    MS-IW-9290          
    4-pyridineethanol hydrochloride
    C7H9NO HCl          (Mass of molecular ion:    123)
    

       Source Temperature: 170 °C
       Sample Temperature: 130 °C
       Direct, 75 eV
    

          26.0       1.6
          27.0       2.6
          28.0       4.2
          29.0       1.7
          31.0      22.4
          35.0       3.5
          36.0      29.4
          37.0       2.1
          38.0      11.6
          39.0      18.0
          40.0       3.7
          41.0       3.4
          43.0       1.2
          50.0       4.0
          51.0       8.7
          52.0       5.9
          53.0       2.2
          54.0       3.9
          62.0       1.1
          63.0       3.5
          64.0       2.3
          65.0      16.3
          66.0      13.7
          67.0       7.1
          77.0       1.9
          78.0       3.5
          79.0       1.5
          80.0       1.3
          92.0      19.2
          93.0     100.0
          94.0       8.2
         104.0       1.3
         105.0       2.0
         106.0       1.0
         123.0      51.6
         124.0       4.6
    

400 MHz in DMSO-d6


  • 1H NMR 399.65 MHz
    C7 H9 N O 0.034 g : 0.5 ml DMSO-d6
    4-pyridineethanol hydrochloride
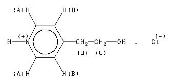
    ChemicalStructure
        Assign.     Shift(ppm)
    A 8.861 B 8.002 C 3.766 D 3.052

         Hz     ppm     Int.
    

       3545.17   8.871    762
       3538.57   8.855    802
       3201.29   8.011    750
       3194.58   7.994    721
       1511.47   3.782    517
       1508.54   3.775    136
       1505.37   3.767   1000
       1501.95   3.759    131
       1499.27   3.752    550
       1226.44   3.069    433
       1220.34   3.054    786
       1214.36   3.039    389
    

in DMSO-d6



KBr disc



nujol mull



4-吡啶乙醇盐酸盐(383177-54-6)质谱(MS) 相关产品图谱