图谱信息 供应商 相关产品
网站主页CAS数据库列表 3840-31-1更多图谱3,4,5-三甲氧基苄醇(3840-31-1)质谱(MS)

3,4,5-三甲氧基苄醇

产品名称 3,4,5-三甲氧基苄醇

CAS号3840-31-1

分子式C10H14O4

分子量198.22

展开


  • Mass

    MS-NW-6103          
    3,4,5-trimethoxybenzyl alcohol
    C10H14O4            (Mass of molecular ion:    198)
    

       Source Temperature: 260 °C
       Sample Temperature: 190 °C
       Reservoir, 75 eV
    

          15.0       5.9
          18.0       1.7
          27.0       3.8
          28.0       4.0
          29.0       3.4
          31.0       2.8
          38.0       2.5
          39.0       8.5
          40.0       1.2
          41.0       6.6
          43.0       2.0
          45.0       2.2
          50.0       2.8
          51.0       4.6
          52.0       3.3
          53.0       6.6
          55.0       3.4
          57.0       2.0
          59.0       2.0
          62.0       1.2
          63.0       2.1
          64.0       1.2
          65.0       4.4
          66.0       3.4
          67.0       4.0
          68.0       1.9
          69.0       3.5
          71.0       1.0
          77.0       6.3
          78.0       1.8
          79.0       2.7
          80.0       2.1
          81.0       6.3
          82.0       1.9
          83.0       3.0
          89.0       1.5
          92.0       1.1
          93.0       4.1
          94.0       1.8
          95.0      16.5
          96.0       2.7
          97.0       4.8
         105.0       1.4
         107.0       2.1
         108.0       2.8
         109.0       3.2
         110.0       2.2
         111.0       4.5
         112.0       2.3
         121.0       1.5
         122.0       1.4
         123.0      13.0
         124.0       4.1
         125.0       4.5
         126.0       1.5
         127.0      27.8
         128.0       2.4
         135.0       1.1
         136.0       1.9
         137.0       3.3
         138.0       4.2
         139.0       3.8
         140.0       5.1
         148.0       1.7
         151.0       4.6
         152.0       2.1
         153.0       1.4
         154.0       2.7
         155.0       9.5
         165.0       1.1
         167.0       4.0
         169.0       4.8
         181.0       7.4
         182.0       2.6
         183.0      18.4
         184.0       2.1
         196.0       3.2
         197.0       2.0
         198.0     100.0
         199.0      11.2
         200.0       1.6
    

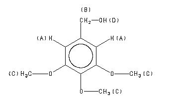
90 MHz in CDCl3


  • 1H NMR 89.56 MHz
    C10 H14 O4 0.04 ml : 0.5 ml CDCl3
    3,4,5-trimethoxybenzyl alcohol
    ChemicalStructure
        Assign.     Shift(ppm)
    A 6.549 B 4.55 C 3.794 D 3.6

         Hz     ppm     Int.
    

        586.63   6.551    182
        407.38   4.549     65
        339.81   3.795   1000
    

in CDCl3



liquid film