图谱信息 供应商 相关产品
网站主页CAS数据库列表 3853-88-1更多图谱5-降冰片烯-2,3-二羧酸(3853-88-1)质谱(MS)

5-降冰片烯-2,3-二羧酸

产品名称 5-降冰片烯-2,3-二羧酸

CAS号3853-88-1

分子式C9H10O4

分子量182.17

展开


  • Mass

    MS-NW-7041          
    cis-endo-5-norbornene-2,3-dicarboxylic acid
    C9H10O4             (Mass of molecular ion:    182)
    

       Source Temperature: 220 °C
       Sample Temperature: 140 °C
       Direct, 75 eV
    

          17.0       1.1
          18.0       4.7
          26.0       2.7
          27.0       3.9
          38.5       2.5
          39.5      12.4
          40.5       4.6
          41.5       1.9
          45.0       2.6
          50.0       2.4
          51.0       4.0
          52.0       1.4
          53.0       1.6
          54.0       1.1
          55.0       3.0
          62.0       1.4
          63.0       3.4
          64.0       1.0
          65.0       9.7
          66.0     100.0
          67.0       6.3
          77.0       2.6
          78.0       1.5
          79.0       1.7
          90.0       1.0
          91.0      22.7
          92.0      10.2
          93.0       1.3
          99.0       6.0
         117.0       7.8
         118.0       1.2
         119.0       6.3
         120.0       4.3
         136.0       1.7
         137.0       2.4
         164.0       4.3
    

400 MHz in DMSO-d6


  • 1H NMR 399.65 MHz
    C9 H10 O4 0.037 g : 0.5 ml DMSO-d6
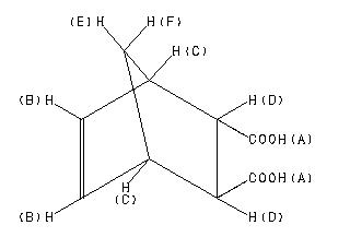
    cis-endo-5-norbornene-2,3-dicarboxylic acid
    ChemicalStructure
        Assign.     Shift(ppm)
    A 11.8 B 6.103 C 3.187 D 3.003 E *1 1.312 F *1 1.255

         Hz     ppm     Int.
    

       4715.07  11.799    487
       2440.69   6.108    673
       2439.05   6.103   1000
       2437.40   6.099    652
       2428.79   6.078     22
       1274.66   3.190    742
       1273.37   3.187    984
       1271.91   3.183    767
       1200.29   3.004    674
        529.72   1.326    174
        521.47   1.305    325
        504.26   1.262    322
        502.61   1.258    213
        497.66   1.246    126
        496.01   1.242    186
        494.37   1.238    116
    

KBr disc



nujol mull



4880 A,200 M,powder