图谱信息 供应商 相关产品
网站主页CAS数据库列表 3856-05-1更多图谱没食子酸异丁酯(3856-05-1)核磁图(1HNMR)

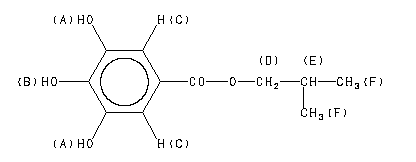
没食子酸异丁酯

产品名称 没食子酸异丁酯

CAS号3856-05-1

分子式C11H14O5

分子量226.23

展开



  •     Assign.     Shift(ppm)
    A 9.3 B 9.0 C 6.993 D 3.970 E 1.978 F 0.964
    Spectral Code: 1H NMR : 400 MHz in DMSO-d6


  • Spectral Code: IR : KBr disc


  • Spectral Code: Raman : 4880 A,200 M,powder