图谱信息 供应商 相关产品
网站主页CAS数据库列表 3900-93-4更多图谱Α-苯基环戊基乙酸(3900-93-4)核磁图(1HNMR)

Α-苯基环戊基乙酸

产品名称 Α-苯基环戊基乙酸

CAS号3900-93-4

分子式C13H16O2

分子量204.27

展开



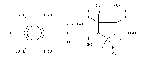
  •     Assign.     Shift(ppm)
    A 12. B 7.335 C 7.300 D 7.253 E 3.263 F 2.540 G *1 1.944 J *2 1.65 K *2 1.58 L *2 1.27 M *1 1.294 N *1 0.981 ASSIGNED BY C-H COSY
    Spectral Code: 1H NMR : 400 MHz in CDCl3



  •        ppm   Int.  Assign.
    180.68 306 1 138.47 489 2 128.57 946 3 * 128.43 1000 4 * 127.44 414 5 57.89 446 6 43.13 446 7 31.59 382 8 # 30.72 387 9 # 25.19 398 10 *1 24.85 435 11 *1
    Spectral Code: 13C NMR : in CDCl3


  • Spectral Code: IR : nujol mull


  • Spectral Code: Raman : 4880 A,200 M,powder