
苯甲酸-2-碘乙酯
产品名称
苯甲酸-2-碘乙酯
CAS号39252-69-2
分子式C9H9IO2
分子量276.07
InChIInChI=1S/C9H9IO2/c10-6-7-12-9(11)8-4-2-1-3-5-8/h1-5H,6-7H2
InChIKeyHNQYNCREQXENCK-UHFFFAOYSA-N
SmilesC(OC(=O)C1=CC=CC=C1)CI
展开
收起
-
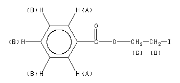
Assign. Shift(ppm)
A 8.06
B 7.61 to 7.32
C 4.56
D 3.42
Spectral Code: 1H NMR : 90 MHz in CDCl3
-
ppm Int. Assign.
165.67 183 1
133.12 339 2
129.63 1000 3
4
128.35 894 5
64.83 517 6
0.56 417 7
Spectral Code: 13C NMR : in CDCl3
-
Spectral Code: IR : liquid film
苯甲酸-2-碘乙酯(39252-69-2)红外图谱(IR1) 相关产品图谱