
3,4-二羟基苯甲酸乙酯
产品名称
3,4-二羟基苯甲酸乙酯
CAS号3943-89-3
分子式C9H10O4
分子量182.17
InChIInChI=1S/C9H10O4/c1-2-13-9(12)6-3-4-7(10)8(11)5-6/h3-5,10-11H,2H2,1H3
InChIKeyKBPUBCVJHFXPOC-UHFFFAOYSA-N
SmilesC(OCC)(=O)C1=CC=C(O)C(O)=C1
展开
收起
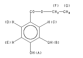
-
Assign. Shift(ppm)
A *1 9.80
B *1 9.40
C 7.398
D 7.344
E 6.839
F 4.241
G 1.292
Spectral Code: 1H NMR : 400 MHz in DMSO-d6
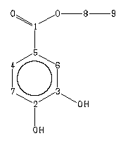
-
ppm Int. Assign.
165.71 547 1
150.33 1000 2
145.07 969 3
121.76 995 4
121.19 719 5
116.50 1000 6
115.34 938 7
59.90 896 8
14.19 792 9
Spectral Code: 13C NMR : in DMSO-d6
-
Spectral Code: IR : KBr disc
-
Spectral Code: Raman : 4880 A,200 M,powder
3,4-二羟基苯甲酸乙酯(3943-89-3)红外图谱(IR1) 相关产品图谱