图谱信息 供应商 相关产品
网站主页CAS数据库列表 3978-81-2更多图谱4-叔丁基吡啶(3978-81-2)ESR图谱

4-叔丁基吡啶

产品名称 4-叔丁基吡啶

CAS号3978-81-2

分子式C9H13N

分子量135.21

展开



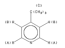
  •     Assign.     Shift(ppm)
    A 8.502 B 7.256 C 1.302
    Spectral Code: 1H NMR : 90 MHz in CDCl3



  •        ppm   Int.  Assign.
    159.76 230 1 149.67 750 2 120.64 780 3 34.54 245 4 30.46 1000 5
    Spectral Code: 13C NMR : in CDCl3


  • Spectral Code: IR : liquid film




  • Spectral Code: ESR : PHOTOLYSIS, IN 2-PROPANOL/ACETONE