图谱信息 供应商 相关产品
网站主页CAS数据库列表 3983-91-3更多图谱四甲基对甲苯磺酸铵(3983-91-3)红外图谱(IR1)

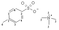
四甲基对甲苯磺酸铵

产品名称 四甲基对甲苯磺酸铵

CAS号3983-91-3

分子式C11H19NO3S

分子量245.34

展开



  •     Assign.     Shift(ppm)
    A 7.698 B 7.361 C 3.125 D 2.380 J(N-14,C)=0.6HZ.
    Spectral Code: 1H NMR : 400 MHz in D2O



  •        ppm   Int.  Assign.
    143.12 354 1 140.80 256 2 130.31 958 3 126.26 1000 4 56.34 486 5 N-14 56.08 493 5 N-14 55.80 437 5 N-14 21.33 263 6
    Spectral Code: 13C NMR : D2O


  • Spectral Code: IR : KBr disc