图谱信息 供应商 相关产品
网站主页CAS数据库列表 399-75-7更多图谱5-氟-2-甲基苯并噻唑(399-75-7)红外图谱(IR1)

5-氟-2-甲基苯并噻唑

产品名称 5-氟-2-甲基苯并噻唑

CAS号399-75-7

分子式C8H6FNS

分子量167.2

展开


  • Mass

    MS-IW-4766          
    5-fluoro-2-methylbenzothiazole
    C8H6FNS             (Mass of molecular ion:    167)
    

       Source Temperature: 220 °C
       Sample Temperature: 150 °C
       Reservoir, 75 eV
    

          45.0       4.4
          50.0       1.0
          57.0       3.5
          58.0       1.2
          62.0       1.5
          63.0       5.8
          69.0      13.0
          70.0       1.3
          76.0       1.7
          81.0       6.3
          82.0       4.2
          83.0       3.5
          83.5       4.3
          87.0       1.8
          93.0       2.5
          94.0       1.2
          95.0       1.6
          96.0       1.6
         100.0       2.5
         106.0       1.2
         107.0       1.1
         108.0       1.4
         122.0       4.3
         125.0       1.0
         126.0      39.0
         127.0       8.1
         128.0       2.2
         134.0       2.4
         135.0       5.7
         139.0       4.9
         140.0       2.3
         153.0       1.8
         166.0      20.1
         167.0     100.0
         168.0      10.7
         169.0       4.9
    

400 MHz in CDCl3


  • 1H NMR 399.65 MHz
    C8 H6 F N S 0.05 ml : 0.5 ml CDCl3
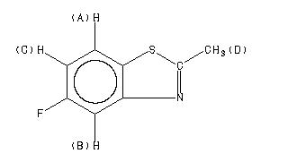
    5-fluoro-2-methylbenzothiazole
    ChemicalStructure
        Assign.     Shift(ppm)
    A 7.681 B 7.614 C 7.078 D 2.792

         Hz     ppm     Int.
    

       3077.27   7.700    121
       3076.78   7.699    124
       3072.14   7.688    121
       3071.66   7.686    129
       3068.48   7.678    131
       3067.99   7.677    132
       3063.35   7.666    127
       3062.87   7.664    132
       3049.32   7.630    114
       3046.75   7.624    116
       3039.79   7.607    114
       3037.23   7.600    115
       2838.75   7.104     79
       2836.18   7.097     77
       2829.96   7.082    145
       2827.39   7.075    139
       2821.17   7.060     73
       2818.60   7.053     71
       1116.09   2.793   1000
       1112.06   2.783     43
    

in CDCl3



liquid film