图谱信息 供应商 相关产品
网站主页CAS数据库列表 399-76-8更多图谱5-氟吲哚-2-羧酸(399-76-8)红外图谱(IR1)

5-氟吲哚-2-羧酸

产品名称 5-氟吲哚-2-羧酸

CAS号399-76-8

分子式C9H6FNO2

分子量179.15

展开


  • Mass

    MS2014-05058CW      
    5-fluoro-2-indolecarboxylic acid
    C9H6FNO2            (Mass of molecular ion:    179)
    

       Source Temperature: 250 °C
       Sample Temperature:  25 °C
       Direct, 70 eV
    

          18.0       1.6
          50.0       1.1
          57.0       5.1
          61.0       1.1
          62.0       2.1
          63.0       1.7
          66.5       2.1
          67.0       1.7
          75.0       1.3
          80.0       1.4
          80.5       8.9
          81.0       5.4
          82.0       1.5
          86.0       1.1
          87.0       1.9
          88.0       1.0
          89.5       1.7
          95.0       1.6
         105.0       2.1
         106.0       6.4
         107.0      19.8
         108.0       2.8
         113.0       1.2
         114.0       1.2
         132.0      10.1
         133.0      73.9
         134.0       9.4
         135.0       1.2
         150.0       1.7
         160.0       1.4
         161.0     100.0
         162.0      11.6
         178.0       1.1
         179.0      54.1
         180.0       5.5
    

400 MHz in DMSO-d6


  • 1H NMR 399.65 MHz
    C9 H6 F N O2 0.041 g : 0.5 ml DMSO-d6
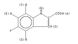
    5-fluoro-2-indolecarboxylic acid
    ChemicalStructure
        Assign.     Shift(ppm)
    A *1 13.1 B *1 11.93 C 7.482 D 7.439 E 7.14 G 7.12 J(F-19,C) = 4.6 HZ. J(F-19,D) = 9.8 HZ.

         Hz     ppm     Int.
    

       5246.58  13.128     31
       4768.80  11.933    383
       2997.56   7.501    319
       2992.92   7.489    339
       2988.77   7.479    373
       2983.89   7.467    366
       2979.25   7.455    394
       2976.81   7.449    401
       2969.48   7.431    388
       2967.04   7.425    374
       2865.97   7.172    330
       2863.28   7.165    313
       2856.45   7.148    501
       2854.00   7.142    440
       2848.39   7.128    727
       2847.66   7.126   1000
       2846.19   7.122    828
       2845.46   7.120    816
    

in DMSO-d6



KBr disc



nujol mull