
2,4-二甲基-4-羟基甲基-2-恶唑啉
产品名称
2,4-二甲基-4-羟基甲基-2-恶唑啉
CAS号39986-37-3
分子式C6H11NO2
分子量129.16
InChIInChI=1S/C6H11NO2/c1-5-7-6(2,3-8)4-9-5/h8H,3-4H2,1-2H3
InChIKeyYWLSGHOSSUXBJK-UHFFFAOYSA-N
SmilesO1CC(C)(CO)N=C1C
展开
收起
-
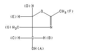
Assign. Shift(ppm)
A 4.31
B *1 4.273
C *1 3.893
D *2 3.577
E *2 3.373
F 1.968
G 1.204
Spectral Code: 1H NMR : 90 MHz in CDCl3
-
Spectral Code: IR : KBr disc
2,4-二甲基-4-羟基甲基-2-恶唑啉(39986-37-3)红外图谱(IR1) 相关产品图谱