-
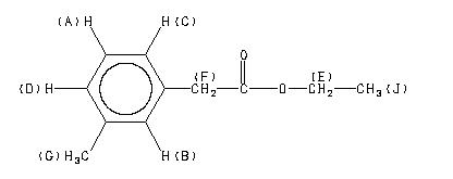
MS-NW-9447 ethyl m-tolylacetate C11H14O2 (Mass of molecular ion: 178)
Source Temperature: 260 °C Sample Temperature: 160 °C Reservoir, 75 eV
27.0 2.9 29.0 12.5 39.0 2.3 51.0 2.7 52.0 1.2 52.5 1.3 53.0 1.1 63.0 1.2 65.0 1.3 77.0 8.2 78.0 3.1 79.0 6.6 91.0 2.9 103.0 5.1 104.0 3.2 105.0 100.0 106.0 11.8 119.0 1.4 133.0 1.4 178.0 25.4 179.0 3.1
400 MHz in CDCl3
-
1H NMR 399.65 MHz C11 H14 O2 0.05 ml : 0.5 ml CDCl3 ethyl m-tolylacetate 
Assign. Shift(ppm)
A 7.181 B 7.08 C *1 7.07 D *1 7.04 E 4.118 F 3.541 G 2.310 J 1.220
Hz ppm Int.2877.93 7.202 95 2871.70 7.186 101 2870.36 7.183 215 2862.79 7.164 147 2829.96 7.082 219 2829.35 7.080 217 2828.25 7.077 195 2827.51 7.075 175 2826.78 7.074 162 2826.05 7.072 171 2825.44 7.070 165 2819.09 7.054 213 2818.48 7.053 220 2811.40 7.035 107 1656.74 4.146 199 1649.66 4.128 534 1642.46 4.110 538 1635.38 4.093 205 1415.28 3.542 709 923.46 2.311 859 495.00 1.239 595 492.43 1.233 50 487.79 1.221 1000 485.35 1.215 58 480.59 1.203 583
更多供应商





