图谱信息 供应商 相关产品
网站主页CAS数据库列表 40070-59-5更多图谱溴二甲苯酚蓝(40070-59-5)红外图谱(IR2)

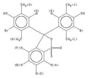
溴二甲苯酚蓝

产品名称 溴二甲苯酚蓝

CAS号40070-59-5

分子式C23H20Br2O5S

分子量568.27

展开

400 MHz in DMSO-d6


  • 1H NMR 399.65 MHz
    C23 H20 Br2 O5 S 0.039 g : 0.5 ml DMSO-d6
    bromoxylenol blue
    ChemicalStructure
        Assign.     Shift(ppm)
    A 7.936 B 7.421 C 7.358 D *1 7.06 E *1 6.92 F 6.874 G *2 2.050 J *2 2.006 K *2 1.904 L *2 1.889

         Hz     ppm     Int.
    

       3176.51   7.949    214
       3175.29   7.946    242
       3168.82   7.929    233
       3167.60   7.926    248
       2977.42   7.451    104
       2976.56   7.448    110
       2976.07   7.447    112
       2973.88   7.442    183
       2972.53   7.438    197
       2970.34   7.433    125
       2969.85   7.432    124
       2968.99   7.429    125
       2968.51   7.428    132
       2966.43   7.423    292
       2965.09   7.420    304
       2961.91   7.412    118
       2961.30   7.410    114
       2958.86   7.404    228
       2957.40   7.400    234
       2947.88   7.377    191
       2946.41   7.373    208
       2940.31   7.358    248
       2938.96   7.354    266
       2932.86   7.339    127
       2931.64   7.336    127
       2819.46   7.055    129
       2751.46   6.885    223
       2750.24   6.882    236
       2743.90   6.866    210
       2742.68   6.863    216
        819.58   2.051    978
        801.76   2.007   1000
        761.11   1.905    661
        755.00   1.890    952
    

KBr disc



nujol mull