图谱信息 供应商 相关产品
网站主页CAS数据库列表 40187-51-7更多图谱5-乙酰基水杨酰胺(40187-51-7)质谱(MS)

5-乙酰基水杨酰胺

产品名称 5-乙酰基水杨酰胺

CAS号40187-51-7

分子式C9H9NO3

分子量179.17

展开


  • Mass

    MS-IW-2155          
    5-acetylsalicylamide
    C9H9NO3             (Mass of molecular ion:    179)
    

       Source Temperature: 120 °C
       Sample Temperature:  80 °C
       Direct, 75 eV
    

          28.0       1.2
          38.0       1.1
          39.0       2.7
          43.0       7.0
          44.0       2.6
          50.0       1.0
          51.0       2.1
          52.0       1.0
          53.0       3.4
          62.0       2.2
          63.0       5.7
          64.0       1.7
          65.0       1.6
          74.0       2.0
          75.5       1.6
          77.0       2.6
          79.0       6.4
          90.0       1.1
          91.0       5.5
          92.0       2.6
         118.0       1.0
         119.0       6.0
         120.0       2.4
         133.0       1.1
         146.0       2.3
         147.0     100.0
         148.0       9.1
         149.0       1.0
         162.0      38.2
         163.0       6.0
         164.0      13.2
         165.0       1.2
         179.0      64.6
         180.0       6.7
    

400 MHz in DMSO-d6


  • 1H NMR 399.65 MHz
    C9 H9 N O3 0.055 g : 0.5 ml DMSO-d6
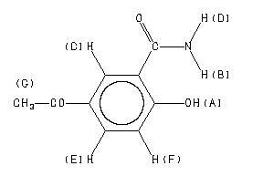
    5-acetylsalicylamide
    ChemicalStructure
        Assign.     Shift(ppm)
    A 13.9 B *1 8.77 C 8.565 D *1 8.14 E 8.018 F 7.008 G 2.579

         Hz     ppm     Int.
    

       5542.11  13.868     21
       3506.13   8.774     60
       3424.29   8.569    193
       3421.94   8.563    190
       3253.55   8.142     62
       3210.18   8.033    120
       3208.04   8.028    113
       3201.41   8.011    121
       3199.28   8.006    116
       2805.46   7.020    219
       2796.70   6.998    213
       1031.03   2.580   1000
    

in DMSO-d6



KBr disc



nujol mull