图谱信息 供应商 相关产品
网站主页CAS数据库列表 4049-34-7更多图谱四-O-乙酰基-Β-D-吡喃核糖(4049-34-7)红外图谱(IR1)

四-O-乙酰基-Β-D-吡喃核糖

产品名称 四-O-乙酰基-Β-D-吡喃核糖

CAS号4049-34-7

分子式C13H18O9

分子量318.28

展开


  • Mass

    MS-IW-4917          
    beta-D-ribopyranose 1,2,3,4-tetraacetate
    C13H18O9            (Mass of molecular ion:    318)
    

       Source Temperature: 150 °C
       Sample Temperature: 120 °C
       Direct, 75 eV
    

          15.0       4.6
          18.0       1.2
          28.0       1.8
          41.0       1.1
          42.0       2.3
          43.0     100.0
          44.0       5.3
          45.0       1.4
          55.0       1.0
          57.0       2.2
          60.0       1.7
          61.0       1.8
          68.0       9.3
          69.0      14.5
          70.0       1.1
          71.0       1.5
          73.0       5.8
          85.0       5.9
          86.0      16.2
          87.0       1.0
          97.0       8.6
          98.0       1.3
          99.0       2.1
         100.0       2.7
         102.0       2.1
         103.0      21.4
         113.0       2.2
         114.0       6.0
         115.0      33.5
         116.0       2.0
         127.0       3.5
         128.0      55.8
         129.0       4.2
         139.0       6.9
         145.0       7.7
         156.0       2.5
         157.0      20.0
         158.0       1.6
         170.0      61.8
         171.0       6.5
         173.0       2.6
         216.0       6.4
         259.0       6.1
    

400 MHz in DMSO-d6


  • 1H NMR 399.65 MHz
    C13 H18 O9 0.040 g : 0.5 ml DMSO-d6
    beta-D-ribopyranose 1,2,3,4-tetraacetate
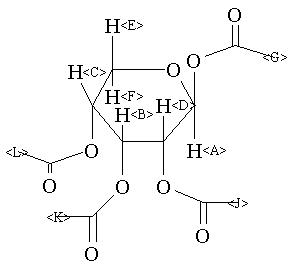
    ChemicalStructure
        Assign.     Shift(ppm)
    A 5.884 B 5.361 C 5.116 D 4.983 E 4.034 F 3.802 G *1 2.115 J *1 2.062 K *1 2.043 L *1 2.017 ASSIGNED BY H-H COSY

         Hz     ppm     Int.
    

       2354.00   5.891    148
       2349.61   5.880    150
       2146.36   5.371     67
       2142.94   5.363    133
       2139.40   5.354     73
       2047.12   5.123     58
       2044.92   5.117     52
       2042.11   5.110     59
       1995.85   4.994     65
       1995.24   4.993     67
       1991.58   4.984    111
       1987.92   4.975     64
       1987.30   4.973     60
       1620.73   4.056     49
       1617.55   4.048     50
       1608.28   4.025     66
       1605.10   4.017     60
       1527.83   3.823     71
       1522.58   3.810     72
       1515.38   3.792     60
       1510.13   3.779     58
        845.46   2.116    994
        824.22   2.063   1000
        816.77   2.044    987
        806.03   2.017    969
    

in DMSO-d6



KBr disc



nujol mull