图谱信息 供应商 相关产品
网站主页CAS数据库列表 405-79-8更多图谱4-氟苯氧乙酸(405-79-8)质谱(MS)

4-氟苯氧乙酸

产品名称 4-氟苯氧乙酸

CAS号405-79-8

分子式C8H7FO3

分子量170.14

展开


  • Mass

    MS-NW-5473          
    (p-fluorophenoxy)acetic acid
    C8H7FO3             (Mass of molecular ion:    170)
    

       Source Temperature: 260 °C
       Sample Temperature: 190 °C
       Reservoir, 75 eV
    

          14.0       1.4
          18.0       4.3
          27.0       1.0
          28.0       6.5
          29.0       3.3
          31.0       6.1
          32.0       1.5
          37.0       1.5
          38.0       2.3
          39.0       3.9
          42.0       2.5
          44.0       1.9
          45.0       3.2
          50.0       6.4
          51.0       4.8
          53.0       1.2
          56.0       3.1
          57.0      16.0
          58.0       1.3
          61.0       1.8
          62.0       2.6
          62.5       1.8
          63.0       5.6
          64.0       3.8
          65.0       1.0
          68.0       2.3
          69.0       4.8
          70.0       1.9
          73.0       1.4
          74.0       3.5
          75.0      21.1
          76.0       2.2
          77.0       3.9
          81.0       3.6
          82.0       3.0
          83.0      37.9
          84.0       8.4
          94.0       2.9
          95.0      82.3
          96.0      10.5
          97.0      24.9
          98.0       1.9
         105.0       1.7
         107.0       1.0
         110.0       1.2
         111.0      20.4
         112.0      55.8
         113.0       4.2
         123.0       1.3
         124.0       1.1
         125.0      87.4
         126.0       7.0
         152.0       1.5
         170.0     100.0
         171.0       9.2
         172.0       1.1
    

90 MHz in DMSO-d6


  • 1H NMR 89.56 MHz
    C8 H7 F O3 0.043 g : 0.5 ml DMSO-d6
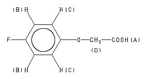
    (p-fluorophenoxy)acetic acid
    ChemicalStructure
        Assign.     Shift(ppm)
    A 13. B 7.09 C 6.96 D 4.656 J(B,C)=8HZ J(B,F-19)=8HZ J(C,F-19)=5HZ

         Hz     ppm     Int.
    

        647.02   7.225     86
        644.20   7.193     38
        640.27   7.150     57
        637.62   7.120    279
        636.08   7.103     60
        634.46   7.085     48
        632.24   7.060     50
        629.33   7.027    290
        627.11   7.003    303
        625.15   6.981     82
        624.29   6.971     78
        622.58   6.952    294
        620.45   6.928     68
        619.51   6.918     66
        617.63   6.897     94
        616.00   6.879     47
        613.35   6.849     61
        612.93   6.844     64
        417.08   4.657   1000
    

KBr disc



nujol mull



4880 A,200 M,powder