图谱信息 供应商 相关产品
网站主页CAS数据库列表 40580-83-4更多图谱盐酸哈尔酚(40580-83-4)红外图谱(IR1)

盐酸哈尔酚

产品名称 盐酸哈尔酚

CAS号40580-83-4

分子式C12H11ClN2O

分子量234.68

展开


  • Mass

    MS-NW-6605          
    1-methyl-beta-carbolin-7-ol hydrochloride
    C12H10N2O HCl H2O   (Mass of molecular ion:    198)
    

       Source Temperature: 220 °C
       Sample Temperature: 170 °C
       Direct, 75 eV
    

          18.0       2.6
          28.0       1.2
          35.0       1.4
          36.0       9.3
          38.0       3.2
          39.0       1.3
          50.0       1.2
          51.0       2.2
          52.0       1.1
          62.0       1.4
          63.0       2.5
          70.5       1.4
          74.0       1.5
          75.0       2.4
          76.0       1.5
          77.0       1.5
          84.5       1.5
          85.0       1.9
          89.0       1.7
          99.0       6.7
          99.5       1.0
         100.0       1.0
         101.0       1.6
         102.0       1.5
         114.0       1.0
         115.0       2.9
         116.0       1.2
         127.0       1.2
         128.0       1.4
         140.0       1.5
         141.0       1.3
         142.0       1.5
         143.0       1.0
         144.0       1.2
         152.0       1.0
         154.0       1.2
         156.0       1.3
         168.0       1.2
         169.0       6.5
         170.0       9.9
         171.0       4.7
         196.0       1.1
         197.0      19.8
         198.0     100.0
         199.0      14.1
         200.0       1.2
    

90 MHz in DMSO-d6


  • 1H NMR 89.56 MHz
    C12 H10 N2 O 0.038 g : 0.5 ml DMSO-d6
    1-methyl-beta-carbolin-7-ol hydrochloride
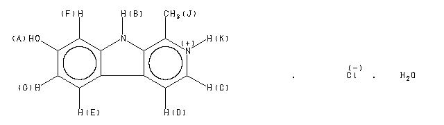
    ChemicalStructure
        Assign.     Shift(ppm)
    A *1 12.81 B *1 10.65 C 8.33 D 8.30 E 8.21 F 7.14 G 6.94 J 3.024 K 4.1 J(E,G)=8.6 HZ. J(F,G)=2.0 HZ. J(C,D)=6.4 HZ.

         Hz     ppm     Int.
    

       1147.65  12.815    161
        751.51   8.392     39
        745.09   8.320    386
        744.00   8.308    423
        739.69   8.260    170
        737.58   8.236     54
        730.99   8.163    186
        639.92   7.146    168
        638.36   7.128    223
        626.27   6.993    142
        624.35   6.972    107
        617.66   6.897    117
        615.55   6.874    103
        270.81   3.024   1000
    

in DMSO-d6



KBr disc



nujol mull