图谱信息 供应商 相关产品
网站主页CAS数据库列表 40731-98-4更多图谱4-羟基-1-茚酮(40731-98-4)质谱(MS)

4-羟基-1-茚酮

产品名称 4-羟基-1-茚酮

CAS号40731-98-4

分子式C9H8O2

分子量148.16

展开


  • Mass

    MS-IW-2168          
    4-hydroxy-1-indanone
    C9H8O2              (Mass of molecular ion:    148)
    

       Source Temperature: 170 °C
       Sample Temperature: 180 °C
       Direct, 75 eV
    

          18.0       3.3
          27.0       1.8
          28.0       1.1
          37.0       1.1
          38.0       2.3
          39.0       7.5
          41.0       1.1
          43.0       1.4
          45.0       2.2
          45.5       1.4
          46.0       1.4
          50.0       3.9
          51.0       7.9
          52.0       2.1
          53.0       2.6
          55.0       1.9
          59.0       1.9
          60.0       1.2
          61.0       1.6
          62.0       3.5
          63.0       8.1
          64.0       3.6
          65.0      11.7
          66.0       2.0
          74.0       3.8
          75.0       2.1
          76.0       1.6
          77.0       3.4
          78.0       2.1
          89.0       4.0
          90.0       2.6
          91.0      43.7
          92.0      17.3
          93.0       2.1
          94.0       1.2
         101.0       1.0
         102.0       3.2
         103.0       1.6
         105.0       3.2
         118.0       1.7
         119.0      20.3
         120.0      65.0
         121.0       7.7
         131.0       1.3
         147.0      10.0
         148.0     100.0
         149.0      10.0
    

400 MHz in DMSO-d6


  • 1H NMR 399.65 MHz
    C9 H8 O2 0.038 g : 0.5 ml DMSO-d6
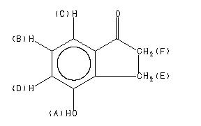
    4-hydroxy-1-indanone
    ChemicalStructure
        Assign.     Shift(ppm)
    A 9.98 B 7.247 C 7.107 D 7.065 E 2.939 F 2.604

         Hz     ppm     Int.
    

       3988.34   9.980    878
       2904.97   7.269    351
       2897.34   7.250    828
       2889.71   7.231    546
       2843.63   7.116    880
       2836.30   7.097    665
       2827.61   7.076    865
       2826.84   7.074    839
       2819.82   7.056    713
       2819.06   7.054    685
       1180.57   2.955    678
       1175.08   2.941    803
       1169.28   2.926    789
       1045.99   2.618   1000
       1044.01   2.613    437
       1042.18   2.608    617
       1040.04   2.603    908
       1038.51   2.599    624
       1036.83   2.595    385
       1034.55   2.589    814
    

in DMSO-d6



KBr disc



nujol mull