图谱信息 供应商 相关产品
网站主页CAS数据库列表 40835-96-9更多图谱2-胺基萘嵌间二氮(杂)苯氯化氢(40835-96-9)质谱(MS)

2-胺基萘嵌间二氮(杂)苯氯化氢

产品名称 2-胺基萘嵌间二氮(杂)苯氯化氢

CAS号40835-96-9

分子式C11H10BrN3

分子量264.12

展开


  • Mass

    MS-NW-1930          
    2-aminoperimidine hydrobromide
    C11H9N3 HBr         (Mass of molecular ion:    183)
    

       Source Temperature: 220 °C
       Sample Temperature: 230 °C
       Direct, 75 eV
    

          28.0       1.4
          39.0       1.9
          43.0       1.1
          50.0       1.7
          51.0       1.8
          62.0       2.1
          63.0       3.8
          64.0       1.8
          74.0       1.4
          75.0       2.1
          76.0       1.5
          77.0       2.5
          77.5       1.0
          78.0       2.2
          79.0       3.6
          80.0       9.2
          81.0       3.5
          82.0       9.1
          86.0       1.3
          87.0       1.8
          88.0       2.9
          89.0       1.0
          91.5       9.6
          92.0       1.3
         100.0       1.0
         101.0       2.6
         102.0       1.5
         103.0       1.3
         112.0       1.0
         113.0       4.0
         114.0       3.1
         115.0       1.8
         126.0       1.8
         127.0       2.7
         128.0       3.6
         130.0       1.1
         138.0       1.5
         139.0      15.6
         140.0       6.1
         155.0      15.3
         156.0       1.8
         165.0       7.3
         166.0      49.8
         167.0       6.4
         182.0      12.4
         183.0     100.0
         184.0      13.2
    

400 MHz in DMSO-d6


  • 1H NMR 399.65 MHz
    C11 H9 N3 0.038 g : 0.5 ml DMSO-d6
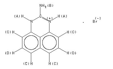
    2-aminoperimidine hydrobromide
    ChemicalStructure
        Assign.     Shift(ppm)
    A *1 11.5 B *1 7.9 C 7.35 D 6.813

         Hz     ppm     Int.
    

       3175.19   7.945    191
       2949.90   7.382     31
       2945.87   7.372     67
       2941.47   7.361   1000
       2937.44   7.351    879
       2936.71   7.349    817
       2932.68   7.339     53
       2930.85   7.334     24
       2928.28   7.328     44
       2731.93   6.836     55
       2727.17   6.824    353
       2722.95   6.814    562
       2718.74   6.803    336
       2713.98   6.791     46
    

KBr disc