图谱信息 供应商 相关产品
网站主页CAS数据库列表 4122-68-3更多图谱4-氯苯氧基乙酰氯(4122-68-3)核磁图(1HNMR)

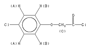
4-氯苯氧基乙酰氯

产品名称 4-氯苯氧基乙酰氯

CAS号4122-68-3

分子式C8H6Cl2O2

分子量205.04

展开



  •     Assign.     Shift(ppm)
    A 7.243 B 6.815 C 4.890
    Spectral Code: 1H NMR : 90 MHz in CDCl3



  •        ppm   Int.  Assign.
    170.06 179 1 155.53 313 2 129.71 980 3 127.77 234 4 116.28 1000 5 72.72 438 6
    Spectral Code: 13C NMR : in CDCl3


  • Spectral Code: IR : liquid film