
2-烯丙基苯甲醚
产品名称
2-烯丙基苯甲醚
CAS号4125-43-3
分子式C10H12O2
分子量164.2
InChIInChI=1S/C10H12O2/c1-3-8-12-10-7-5-4-6-9(10)11-2/h3-7H,1,8H2,2H3
InChIKeyKWRBXILMRLLABD-UHFFFAOYSA-N
SmilesC1(OC)=CC=CC=C1OCC=C
展开
收起
-
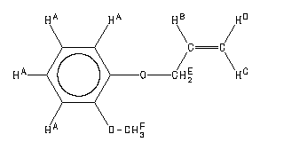
Assign. Shift(ppm)
A 6.96 to 6.83
B 6.06
C 5.39
D 5.27
E 4.595
F 3.854
Spectral Code: 1H NMR : 90 MHz in CDCl3
-
ppm Int. Assign.
149.67 385 1
148.16 423 2
133.57 824 3
121.31 1000 4
120.81 885 5
117.64 857 6
113.85 863 7
111.99 984 8
69.85 879 9
55.83 995 10
Spectral Code: 13C NMR : in CDCl3
-
Spectral Code: IR : liquid film
-
Spectral Code: Raman : 4880 A,200 M,liquid
2-烯丙基苯甲醚(4125-43-3)红外图谱(IR1) 相关产品图谱