图谱信息 供应商 相关产品
网站主页CAS数据库列表 41317-15-1更多图谱2-甲基-4-甲氧基二苯胺(41317-15-1)质谱(MS)

2-甲基-4-甲氧基二苯胺

产品名称 2-甲基-4-甲氧基二苯胺

CAS号41317-15-1

分子式C14H15NO

分子量213.27

展开


  • Mass

    MS-KW-0183          
    4-methoxy-2-methyldiphenylamine
    C14H15NO            (Mass of molecular ion:    213)
    

       Source Temperature: 140 °C
       Sample Temperature: 110 °C
       Direct, 75 eV
    

          39.0       1.8
          51.0       3.8
          52.0       1.4
          63.0       1.0
          65.0       2.2
          76.0       1.1
          77.0       6.9
          78.0       1.7
          83.5       3.1
          90.0       2.1
          90.5       2.0
          91.0       1.2
          92.0       1.1
          99.0       2.5
         103.0       1.0
         105.5       1.4
         106.0       1.2
         106.5       7.0
         107.0       1.2
         115.0       1.1
         128.0       2.7
         130.0       2.1
         143.0       1.2
         154.0       3.4
         155.0       2.7
         167.0       3.6
         168.0       3.6
         169.0       1.6
         170.0       2.1
         180.0       4.8
         181.0       2.6
         182.0       1.2
         183.0       1.1
         196.0       1.9
         197.0       1.4
         198.0     100.0
         199.0      14.8
         200.0       1.3
         210.0       1.5
         212.0       2.2
         213.0      92.9
         214.0      14.8
         215.0       1.2
    

400 MHz in CDCl3


  • 1H NMR 399.65 MHz
    C14 H15 N O 0.038 g : 0.5 ml CDCl3
    4-methoxy-2-methyldiphenylamine
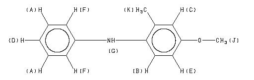
    ChemicalStructure
        Assign.     Shift(ppm)
    A 7.166 B 7.125 C 6.79 D 6.77 E 6.72 F 6.70 G 5.16 J 3.778 K 2.202

         Hz     ppm     Int.
    

       2872.31   7.188    124
       2871.46   7.185     50
       2870.24   7.182     44
       2864.99   7.169    162
       2863.77   7.166    157
       2858.40   7.153     52
       2857.18   7.150     59
       2856.32   7.148    147
       2852.05   7.137    123
       2843.38   7.115    132
       2715.58   6.795     85
       2712.89   6.789    125
       2711.91   6.786    130
       2710.82   6.783     53
       2705.57   6.770     52
       2704.47   6.768    115
       2703.49   6.765     58
       2698.24   6.752     32
       2697.14   6.749     58
       2696.04   6.747     35
       2690.06   6.732     64
       2689.58   6.730     65
       2687.01   6.724     53
       2686.65   6.723     53
       2681.40   6.710     89
       2680.30   6.707    179
       2679.08   6.704    205
       2678.34   6.702    137
       2677.12   6.699     63
       2673.58   6.690     55
       2672.61   6.688     89
       2671.63   6.685    169
       2670.53   6.683    145
       2064.33   5.166     34
       1509.89   3.779   1000
        880.00   2.202    535
    

in CDCl3



KBr disk



Nujol