(E)-4-(2-Furanyl)-3-butene-2-one
产品名称 (E)-4-(2-Furanyl)-3-butene-2-one
CAS号41438-24-8
分子式C8H8O2
分子量136.15
-
MS-NW-8673 trans-furfurylideneacetone C8H8O2 (Mass of molecular ion: 136)
Source Temperature: 260 °C Sample Temperature: 140 °C Reservoir, 75 eV
15.0 3.5 26.0 1.5 27.0 2.7 28.0 2.2 29.0 2.2 37.0 2.1 38.0 6.0 39.0 31.6 40.0 2.0 42.0 1.6 43.0 54.4 44.0 1.2 50.0 3.1 51.0 4.8 52.0 1.5 53.0 3.6 54.0 3.5 55.0 1.1 60.5 3.5 61.0 1.7 62.0 3.5 63.0 10.0 64.0 4.1 65.0 74.5 66.0 6.0 77.0 4.8 78.0 1.0 79.0 5.1 80.0 1.1 81.0 1.4 82.0 2.9 92.0 1.8 93.0 17.6 94.0 46.8 95.0 3.9 107.0 3.9 108.0 3.5 121.0 100.0 122.0 7.9 135.0 4.3 136.0 65.2 137.0 6.3
400 MHz in CDCl3
-
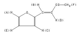
1H NMR 399.65 MHz C8 H8 O2 0.027 g : 0.5 ml CDCl3 trans-furfurylideneacetone 
Assign. Shift(ppm)
A 7.505 B 7.280 C 6.672 D 6.621 E 6.491 F 2.328 J(B,D)=16.0HZ J(C,E)=3.4HZ J(A,E)=1.7HZ
Hz ppm Int.3000.24 7.508 139 2999.63 7.506 127 2999.02 7.505 138 2917.97 7.302 137 2901.98 7.262 155 2668.21 6.677 120 2664.79 6.668 131 2653.81 6.641 145 2637.82 6.601 129 2596.80 6.498 119 2595.09 6.494 122 2593.38 6.490 113 2591.67 6.485 107 930.42 2.329 1000
更多供应商





