图谱信息 供应商 相关产品
网站主页CAS数据库列表 41532-84-7更多图谱1,1,2-三甲基-1H-苯并[e]吲哚(41532-84-7)核磁图(1HNMR)

1,1,2-三甲基-1H-苯并[e]吲哚

产品名称 1,1,2-三甲基-1H-苯并[e]吲哚

CAS号41532-84-7

分子式C15H15N

分子量209.29

展开


  • Mass

    MS-IW-9537          
    2,3,3-trimethyl-3H-benz(e)indole
    C15H15N             (Mass of molecular ion:    209)
    

       Source Temperature: 150 °C
       Sample Temperature: 100 °C
       Direct, 75 eV
    

          39.0       1.5
          51.0       1.6
          63.0       3.3
          69.5       1.5
          74.0       1.1
          75.0       2.5
          75.5       1.3
          76.0       9.5
          76.5       1.7
          77.0       2.0
          81.5       1.5
          82.0       3.3
          82.5       2.9
          83.0       2.0
          83.5       1.4
          89.0       1.2
          90.5       6.2
          91.0       1.1
          95.5       1.4
          96.0       1.0
          96.5       6.1
          97.0       4.6
         102.0       1.0
         103.5       1.4
         104.5       3.0
         115.0       2.2
         126.0       2.4
         127.0       3.5
         128.0       2.4
         139.0       2.2
         141.0       1.1
         150.0       2.8
         151.0       7.8
         152.0      23.7
         153.0      27.2
         154.0       3.8
         163.0       1.6
         164.0       2.1
         165.0      11.6
         166.0       3.7
         167.0      11.2
         168.0       4.1
         177.0       1.1
         178.0       2.2
         179.0       1.7
         191.0       1.7
         192.0       2.9
         193.0       6.0
         194.0      62.2
         195.0       9.8
         207.0       1.8
         208.0      31.1
         209.0     100.0
         210.0      16.5
         211.0       1.3
    

400 MHz in CDCl3


  • 1H NMR 399.65 MHz
    C15 H15 N 0.041 g : 0.5 ml CDCl3
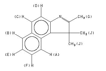
    2,3,3-trimethyl-3H-benz(e)indole
    ChemicalStructure
        Assign.     Shift(ppm)
    A 7.999 B 7.925 C 7.836 D 7.779 E 7.525 F 7.424 G 2.365 J 1.520 ASSIGNED BY C-H AND H-H COSY

         Hz     ppm     Int.
    

       3201.29   8.011     77
       3192.87   7.990     84
       3171.75   7.937     78
       3163.45   7.916     84
       3137.33   7.851     65
       3128.78   7.829    123
       3112.06   7.787    136
       3103.64   7.766     71
       3015.50   7.546     40
       3008.18   7.528     72
       3000.37   7.508     50
       2974.12   7.442     56
       2966.43   7.423     74
       2958.98   7.404     38
        945.31   2.366    558
        617.92   1.547     30
        607.67   1.521   1000
    

in CDCl3



KBr disc



nujol mull