图谱信息 供应商 相关产品
网站主页CAS数据库列表 4163-60-4更多图谱beta-D-半乳糖五乙酸酯(4163-60-4)质谱(MS)

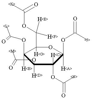
beta-D-半乳糖五乙酸酯

产品名称 beta-D-半乳糖五乙酸酯

CAS号4163-60-4

分子式C16H22O11

分子量390.34

展开


  • Mass

    MS-IW-0030          
    beta-D-galactopyranose pentaacetate
    C16H22O11           (Mass of molecular ion:    390)
    

       Source Temperature: 190 °C
       Sample Temperature: 130 °C
       Direct, 75 eV
    

          15.0       3.2
          18.0       1.3
          28.0       2.1
          42.0       1.4
          43.0     100.0
          44.0       3.9
          60.0       1.3
          61.0       1.8
          69.0       3.3
          70.0       2.1
          71.0       1.1
          73.0       8.0
          80.0       2.5
          81.0       6.2
          85.0       3.3
          86.0       2.8
          97.0       6.6
          98.0      40.7
          99.0       4.7
         102.0       2.2
         103.0      16.8
         109.0       2.7
         112.0       2.3
         113.0       2.1
         114.0       4.3
         115.0      55.0
         116.0       4.6
         126.0       5.4
         127.0       2.9
         131.0       2.1
         139.0       3.5
         140.0      21.4
         141.0       2.9
         143.0       2.2
         144.0       1.2
         145.0      11.2
         155.0       2.1
         157.0      41.1
         158.0      12.0
         159.0       1.2
         168.0       2.6
         169.0       4.3
         182.0       5.1
         186.0       1.3
         197.0       1.4
         199.0       8.4
         200.0      21.2
         201.0       2.2
         203.0       1.3
         211.0       1.5
         215.0       1.4
         228.0       1.8
         229.0       1.0
         242.0      27.9
         243.0       3.6
         245.0       3.5
         288.0       1.1
         331.0       2.9
    

400 MHz in CDCl3


  • 1H NMR 399.65 MHz
    C16 H22 O11 0.038 g : 0.5 ml CDCl3
    beta-D-galactopyranose pentaacetate
    ChemicalStructure
        Assign.     Shift(ppm)
    A 5.713 B 5.434 C 5.339 D 5.097 E *1 4.16 F *1 4.14 G 4.079 J *2 2.172 K *2 2.129 L *2 2.053 M *2 2.050 N *2 2.000 J(A,C)=8.3HZ J(B,D)=3.4HZ J(B,G)=1.0HZ J(C,D)=10.5HZ J(E,F)=-11.1HZ J(E,G)=6.8HZ J(F,G)=6.4HZ ASSIGNED BY H-H AND C-H COSY.

         Hz     ppm     Int.
    

       2287.84   5.725    164
       2279.54   5.704    182
       2173.95   5.440     82
       2173.10   5.438     83
       2170.65   5.432     88
       2169.68   5.429     83
       2143.43   5.364     69
       2135.13   5.343     68
       2132.93   5.337     89
       2124.63   5.317     76
       2043.33   5.113     92
       2039.92   5.105     86
       2032.96   5.087     74
       2029.54   5.079     71
       1669.43   4.178     37
       1665.28   4.167     83
       1658.20   4.150    179
       1651.86   4.134    120
       1640.75   4.106     48
       1635.25   4.092     64
       1634.28   4.090     60
       1628.17   4.074     73
        868.29   2.173    905
        850.95   2.130    892
        820.43   2.053   1000
        819.21   2.050    954
        810.55   2.029     32
        808.96   2.025     31
        808.59   2.024     31
        808.23   2.023     31
        806.52   2.019     33
        802.37   2.008     59
        799.32   2.001    883
    

in CDCl3



KBr disc



nujol mull