图谱信息 供应商 相关产品
网站主页CAS数据库列表 4180-23-8更多图谱茴香烯(4180-23-8)质谱(MS)

茴香烯

产品名称 茴香烯

CAS号4180-23-8

分子式C10H12O

分子量148.2

展开


  • Mass

    MS-NW-0721          
    trans-p-(1-propenyl)anisole
    C10H12O             (Mass of molecular ion:    148)
    

       Source Temperature: 220 °C
       Sample Temperature: 150 °C
       Reservoir, 75 eV
    

          15.0       1.9
          27.0       4.7
          28.0       2.1
          38.0       1.3
          39.0       7.4
          41.0       2.7
          43.0       1.0
          50.0       4.0
          51.0       8.6
          52.0       2.7
          53.0       2.5
          55.0       4.0
          62.0       1.8
          63.0       5.7
          64.0       1.7
          65.0       5.6
          74.0       2.8
          75.0       1.5
          76.0       1.7
          77.0      17.4
          78.0       6.7
          79.0      11.0
          89.0       3.3
          90.0       1.2
          91.0      11.5
          92.0       1.5
          93.0       1.5
         102.0       2.4
         103.0       9.7
         104.0       3.7
         105.0      18.6
         106.0       2.0
         107.0       2.1
         115.0      10.7
         116.0       5.9
         117.0      22.9
         118.0       2.9
         119.0       2.2
         121.0      18.8
         122.0       1.8
         131.0       3.0
         132.0       3.0
         133.0      22.7
         134.0       2.4
         135.0       2.4
         136.0       1.5
         146.0       1.5
         147.0      42.2
         148.0     100.0
         149.0      11.1
    

90 MHz in CDCl3


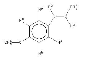
  • 1H NMR 89.56 MHz
    C10 H12 O 10.5 mol% in CDCl3
    trans-p-(1-propenyl)anisole
    ChemicalStructure
        Assign.     Shift(ppm)
    A 7.21 B 6.80 C 6.29 D 6.07 E 3.729 F 1.824 J(C,D)=15.8HZ

         Hz     ppm     Int.
    

        653.00   7.292    118
        650.94   7.269     47
        644.25   7.194    180
        616.81   6.888     38
        614.13   6.858    207
        611.88   6.833     58
        607.38   6.782     52
        605.25   6.759    128
        561.00   6.264     90
        557.44   6.225     35
        552.13   6.165     93
        546.25   6.100     85
        337.25   3.766   1000
        168.19   1.878    177
        167.31   1.869    240
        162.25   1.812    247
        161.38   1.802    163
    

in CDCl3



CCl4 solution



liquid film



4880 A,200 M,liquid