-
MS-IW-4177 p-(diphenylamino)benzaldehyde C19H15NO (Mass of molecular ion: 273)
Source Temperature: 150 °C Sample Temperature: 90 °C Direct, 75 eV
51.0 2.3 77.0 3.5 108.5 1.0 115.0 2.2 120.5 1.4 121.0 1.0 122.5 1.0 135.5 1.5 136.0 1.7 136.5 1.5 139.0 1.4 140.0 1.2 141.0 2.6 142.0 1.5 166.0 5.8 167.0 6.9 168.0 1.5 184.0 1.0 241.0 3.2 242.0 5.2 243.0 7.4 244.0 16.6 245.0 3.5 250.0 1.5 252.0 6.7 253.0 1.2 272.0 22.8 273.0 100.0 274.0 20.8 275.0 2.2
400 MHz in CDCl3
-
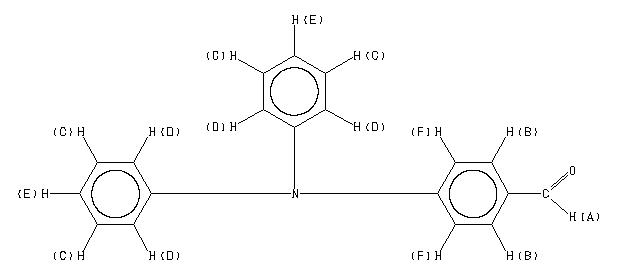
1H NMR 399.65 MHz C19 H15 N O 0.033 g : 0.5 ml CDCl3 p-(diphenylamino)benzaldehyde 
Assign. Shift(ppm)
A 9.804 B 7.674 C 7.335 D 7.18 E 7.16 F 7.015
Hz ppm Int.3918.30 9.805 561 3074.19 7.693 67 3071.59 7.686 478 3069.61 7.681 146 3064.73 7.669 160 3062.74 7.664 515 3060.30 7.658 69 2942.81 7.364 46 2939.91 7.357 334 2938.39 7.353 111 2937.47 7.351 98 2935.94 7.347 58 2932.28 7.338 549 2931.21 7.335 445 2929.69 7.331 129 2927.09 7.325 129 2924.19 7.317 533 2922.06 7.312 95 2872.47 7.188 180 2870.33 7.183 1000 2867.58 7.176 241 2865.14 7.170 189 2863.62 7.166 903 2862.24 7.162 611 2861.18 7.160 524 2858.73 7.154 90 2857.36 7.150 159 2856.14 7.147 202 2854.92 7.144 96 2810.36 7.033 57 2807.92 7.026 421 2806.09 7.022 126 2800.90 7.009 129 2799.22 7.005 409 2796.78 6.999 52
更多供应商





